Free Access

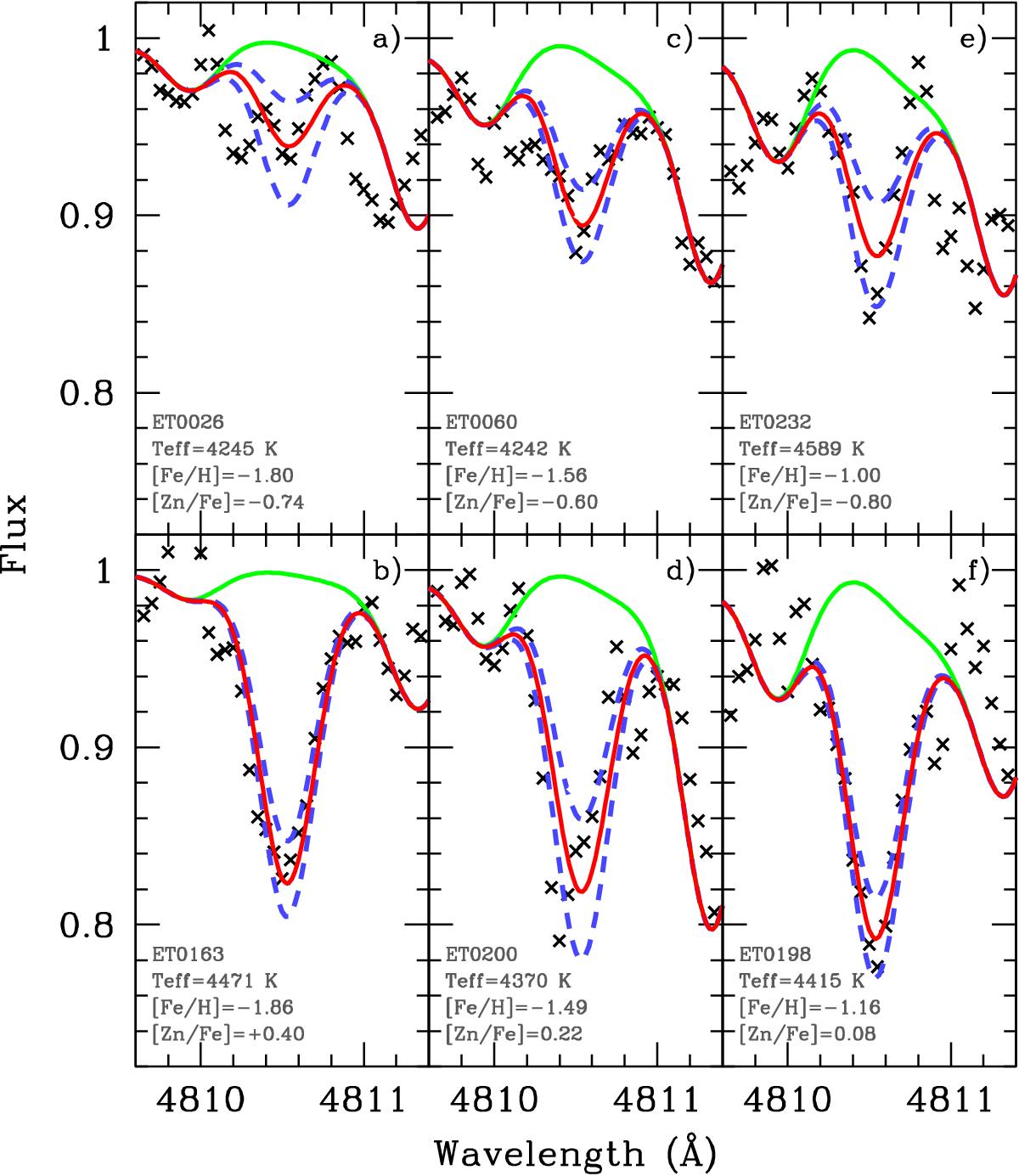
Fig. 12

image

Zn I line at 4810.5 Å for three pairs of stars with similar stellar parameters but very different [Zn/Fe] values: a) and b) show stars with [Fe/H] ≈ −1.8; c) and d) stars with [Fe/H] ≈ −1.5; e) and f) stars with [Fe/H] ≈ −1.1. In each case, the spectrum is shown with black crosses, while the best fit is shown with a red solid line, and blue dashed lines show upper and lower errorbars (including error due to stellar parameters). The green solid line shows the case where there is no Zn present.

Current usage metrics show cumulative count of Article Views (full-text article views including HTML views, PDF and ePub downloads, according to the available data) and Abstracts Views on Vision4Press platform.

Data correspond to usage on the plateform after 2015. The current usage metrics is available 48-96 hours after online publication and is updated daily on week days.

Initial download of the metrics may take a while.