Highlight
Free Access

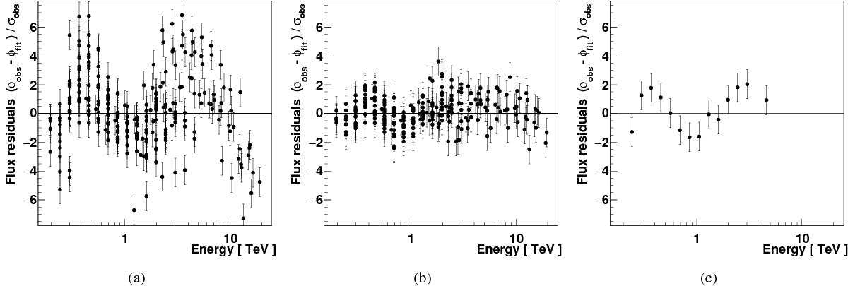
Fig. 1

image

Fit residuals of the featureless spectral shapes, as a function of energy. a) Residuals of the whole sample of spectra to the power-law fit. b) Residuals of the whole sample to the log-parabola fit. c) Example residuals to the log-parabola fit for the subset PKS 2155304 (5).

This figure is made of several images, please see below:

Current usage metrics show cumulative count of Article Views (full-text article views including HTML views, PDF and ePub downloads, according to the available data) and Abstracts Views on Vision4Press platform.

Data correspond to usage on the plateform after 2015. The current usage metrics is available 48-96 hours after online publication and is updated daily on week days.

Initial download of the metrics may take a while.