Free Access

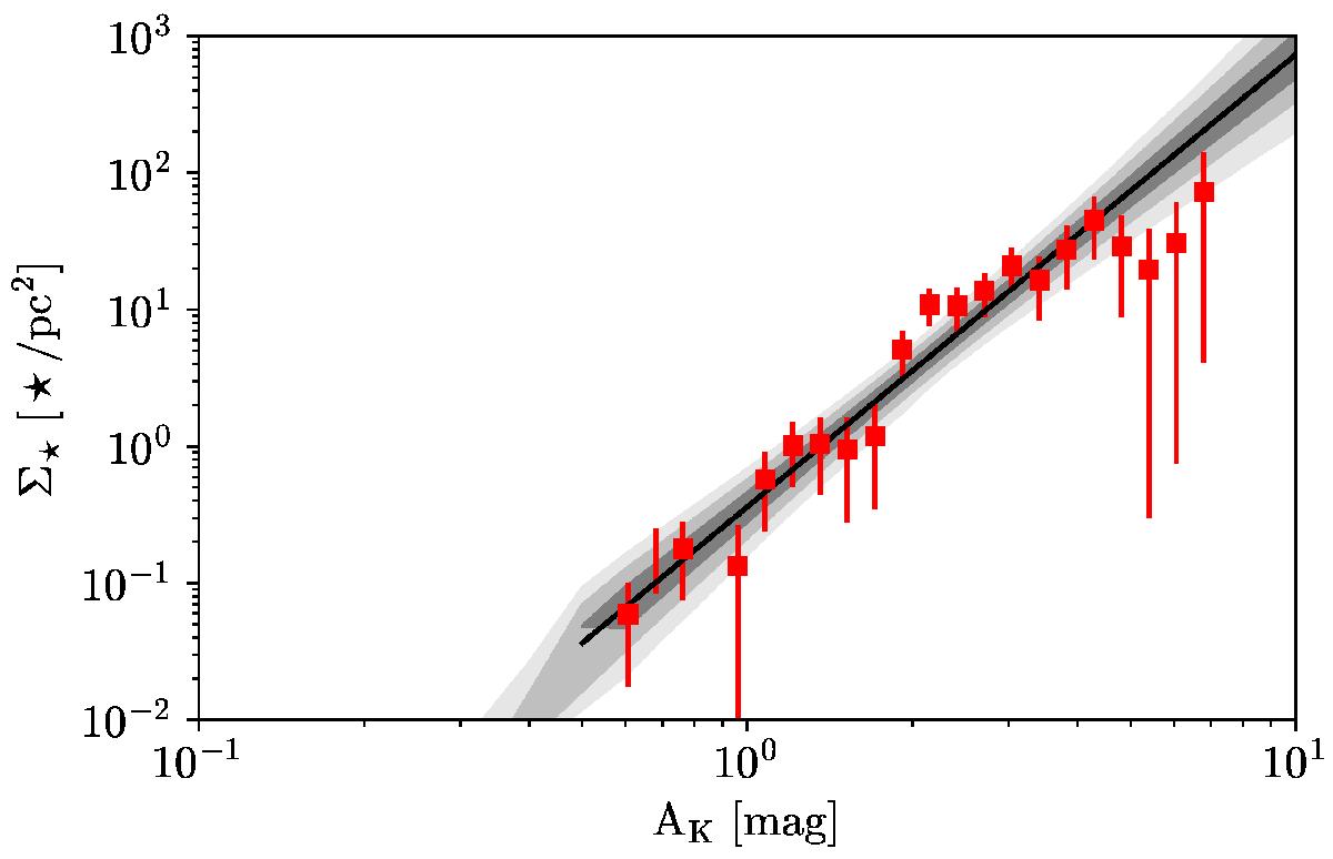
Fig. 10

image

Schmidt relation for protostellar objects in the CMC. The data is shown as red squares with corresponding uncertainties. The black line represents the power-law relation, derived from the MCMC analysis with index β = 3.31. The gray shaded regions represent the 1, 2, and 3σ confidence levels for the plotted power-law relation. The data are fully sampled in logarithmic bins 0.1 dex wide equally spaced at intervals of 0.05 dex. See text.

Current usage metrics show cumulative count of Article Views (full-text article views including HTML views, PDF and ePub downloads, according to the available data) and Abstracts Views on Vision4Press platform.

Data correspond to usage on the plateform after 2015. The current usage metrics is available 48-96 hours after online publication and is updated daily on week days.

Initial download of the metrics may take a while.