Free Access

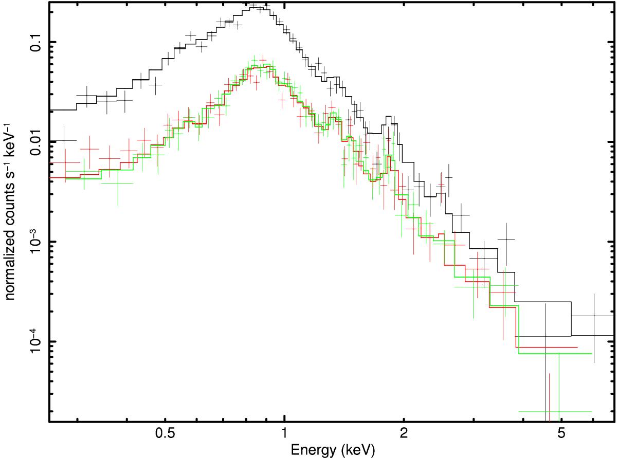
Fig. 10

image

XMM-Newton PN, MOS1, and MOS2 spectra of HD 54879 (black, red, and green curves, respectively) with error bars corresponding to 3σ with the best fit three-temperature thermal model (solid lines). The model parameters are shown in Table 1.

Current usage metrics show cumulative count of Article Views (full-text article views including HTML views, PDF and ePub downloads, according to the available data) and Abstracts Views on Vision4Press platform.

Data correspond to usage on the plateform after 2015. The current usage metrics is available 48-96 hours after online publication and is updated daily on week days.

Initial download of the metrics may take a while.