Free Access

Fig. 2

image

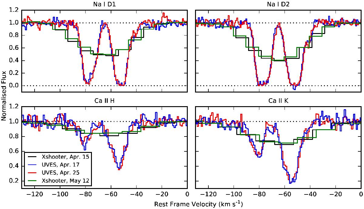
Na I D doublet and Ca II H&K of iPTF16abc by UVES and X-shooter. In the UVES spectra, two distinct groups of absorption features with similar velocities are visible, while they are unresolved with X-shooter. The substructure of these groups is difficult to further discern due to the optical thickness of the absorbers.

Current usage metrics show cumulative count of Article Views (full-text article views including HTML views, PDF and ePub downloads, according to the available data) and Abstracts Views on Vision4Press platform.

Data correspond to usage on the plateform after 2015. The current usage metrics is available 48-96 hours after online publication and is updated daily on week days.

Initial download of the metrics may take a while.