Free Access

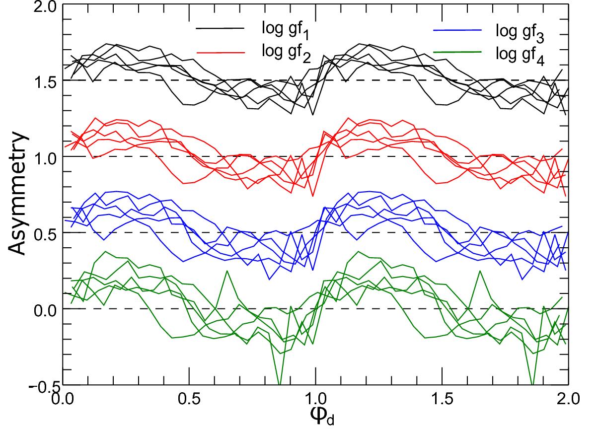
Fig. 15

image

Line asymmetries of the Fe i λ5500 Å with Ei = 3 eV as a function of the dynamical phase φd. Line strength changes in order of oscillator strength with log gf1> log gf2> log gf3 > log gf4. Dynamical phase zero coincides with the velocity reversal from contraction to expansion in the photosphere. The line asymmetry curves are shifted by 0.5 dex relative to each other for clarity.

Current usage metrics show cumulative count of Article Views (full-text article views including HTML views, PDF and ePub downloads, according to the available data) and Abstracts Views on Vision4Press platform.

Data correspond to usage on the plateform after 2015. The current usage metrics is available 48-96 hours after online publication and is updated daily on week days.

Initial download of the metrics may take a while.