Free Access

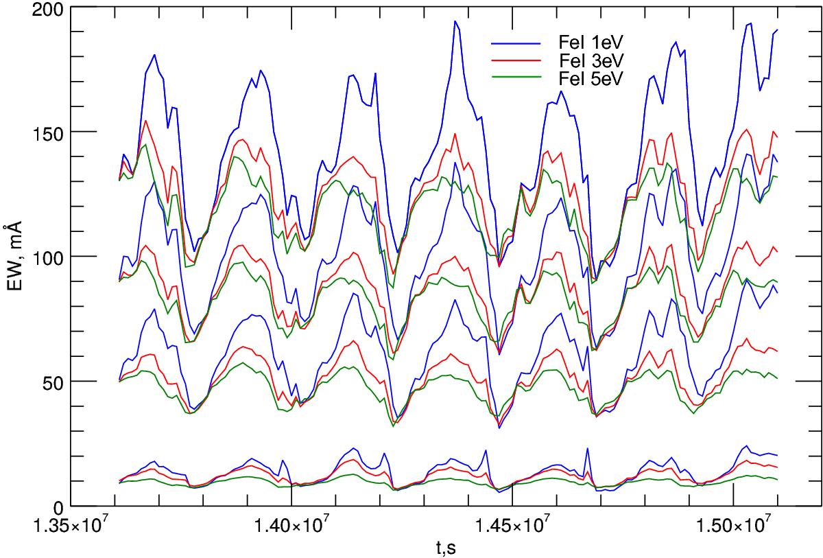
Fig. 8

image

Equivalent widths obtained from the 2D model as a function of time for lines of Fe i λ5500 Å with excitation energies of Ei = 1,3,5 eV (coloured solid lines). Different oscillator strengths were used for each excitation energy to cover a range of equivalent widths from 10 mÅ to 130 mÅ at starting time, as apparent by the four groups of three lines each.

Current usage metrics show cumulative count of Article Views (full-text article views including HTML views, PDF and ePub downloads, according to the available data) and Abstracts Views on Vision4Press platform.

Data correspond to usage on the plateform after 2015. The current usage metrics is available 48-96 hours after online publication and is updated daily on week days.

Initial download of the metrics may take a while.