Free Access

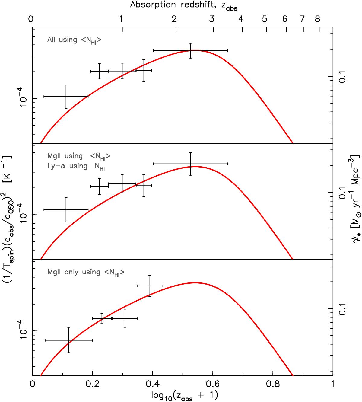
Fig. 7

image

As Fig. 6, using the mean column density for all of the absorbers (top panel), only the Mgii absorbers normalised by with the DLAs normalised by the actual NH i measurements (see Curran 2017, middle panel). In these two panels the bin size has been doubled to n = 50 (halving the number of bins), in order to improve the signal-to-noise ratios. The bottom panel shows only the Mg ii absorbers normalised by , where the sample of 188 is binned into four bins of 47. As per Fig. 5, the curves show the SFR density arbitrarily shifted on the ordinate, where the same shift is used in each panel.

Current usage metrics show cumulative count of Article Views (full-text article views including HTML views, PDF and ePub downloads, according to the available data) and Abstracts Views on Vision4Press platform.

Data correspond to usage on the plateform after 2015. The current usage metrics is available 48-96 hours after online publication and is updated daily on week days.

Initial download of the metrics may take a while.