Free Access
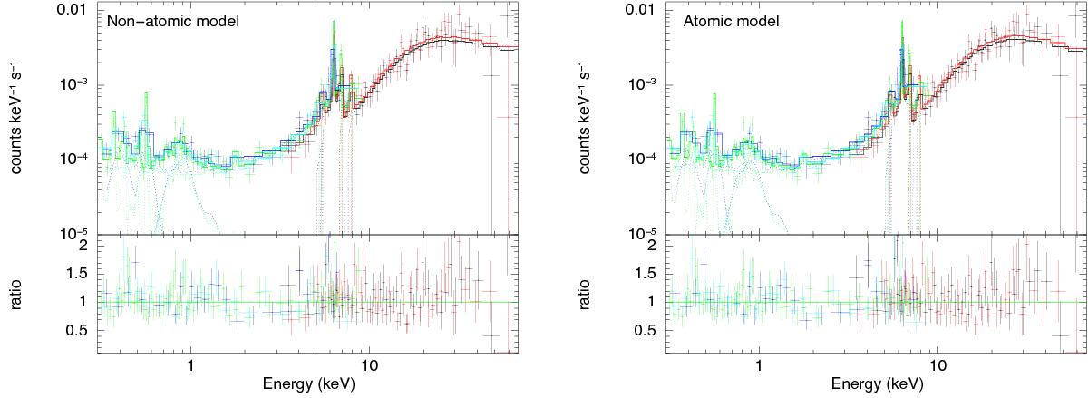
Fig. 11

NuSTAR and XMM-Newton spectrum of NGC 424 fitted with the non-atomic (left panel) and atomic (right panel) version of RXTorus. The spectral parameters obtained are reported in Table 1.
This figure is made of several images, please see below:
Current usage metrics show cumulative count of Article Views (full-text article views including HTML views, PDF and ePub downloads, according to the available data) and Abstracts Views on Vision4Press platform.
Data correspond to usage on the plateform after 2015. The current usage metrics is available 48-96 hours after online publication and is updated daily on week days.
Initial download of the metrics may take a while.