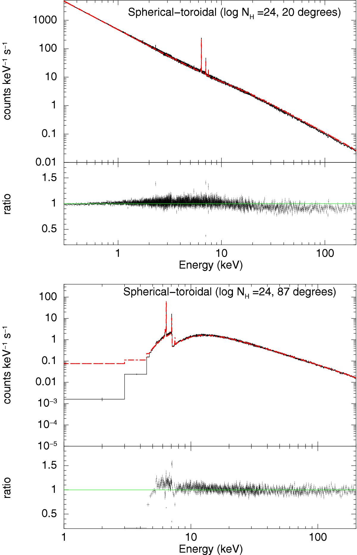
Fig. 9

Comparison between the spherical-toroidal geometry and our RefleX simulations assuming the BNTorus geometry (Fig. 8) for two viewing angles and an half-opening angle of θ OA = 30 deg. Top: i = 20 deg; bottom: i = 87 deg. In each panel, the top subplot shows the spherical-toroidal model (solid line) and the RefleX simulation (crosses); the bottom subplot shows the ratio between our simulations and the spherical-toroidal model. In all cases, the primary continuum is defined as a power law starting at 1 keV with an index Γ = 1.9 up to 500 keV. The equatorial column density is NH,eq = 1024 cm-2. The BNTorus model has been approximated using 51 annuli in RefleX. Spectra are averaged over 2 deg in inclination. 1010 photons were generated.
Current usage metrics show cumulative count of Article Views (full-text article views including HTML views, PDF and ePub downloads, according to the available data) and Abstracts Views on Vision4Press platform.
Data correspond to usage on the plateform after 2015. The current usage metrics is available 48-96 hours after online publication and is updated daily on week days.
Initial download of the metrics may take a while.