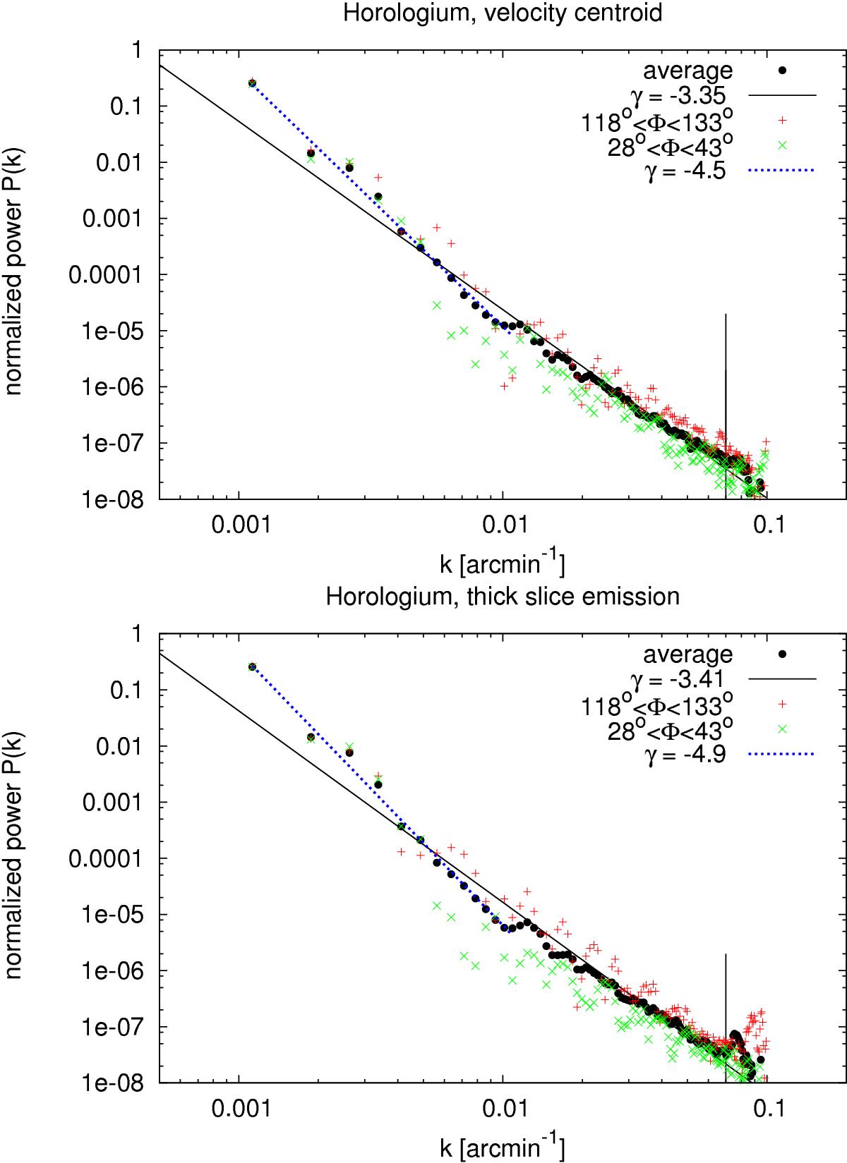
Fig. 22

Power spectrum (black dots) calculated for the velocity centroid (top) and the thick slice emission (bottom) over the velocity range −23.1 <vLSR< 5.2 km s-1. An average power law γ = −3.35 ± 0.05 for the centroid and respectively γ = −3.41 ± 0.05 for the thick velocity slice was fit for k< 0.07 arcmin-1 (vertical line). The power law fits for the restricted ranges 0.001 <k< 0.01 arcmin-1 in spatial frequency are indicated with blue dotted lines. In case of the centroid (top) γ = −4.5 ± 0.1 and γ = −4.9 ± 0.1 for the average emission respectively. In addition the power spectra for 118° < Φ < 133° (red) and 28° < Φ < 43° (green) are given. The average anisotropy factor for 0.007 <k< 0.07 arcmin-1 is Qaver = 2.1 for the centroid and Qaver = 4.1 for the average emission.
Current usage metrics show cumulative count of Article Views (full-text article views including HTML views, PDF and ePub downloads, according to the available data) and Abstracts Views on Vision4Press platform.
Data correspond to usage on the plateform after 2015. The current usage metrics is available 48-96 hours after online publication and is updated daily on week days.
Initial download of the metrics may take a while.