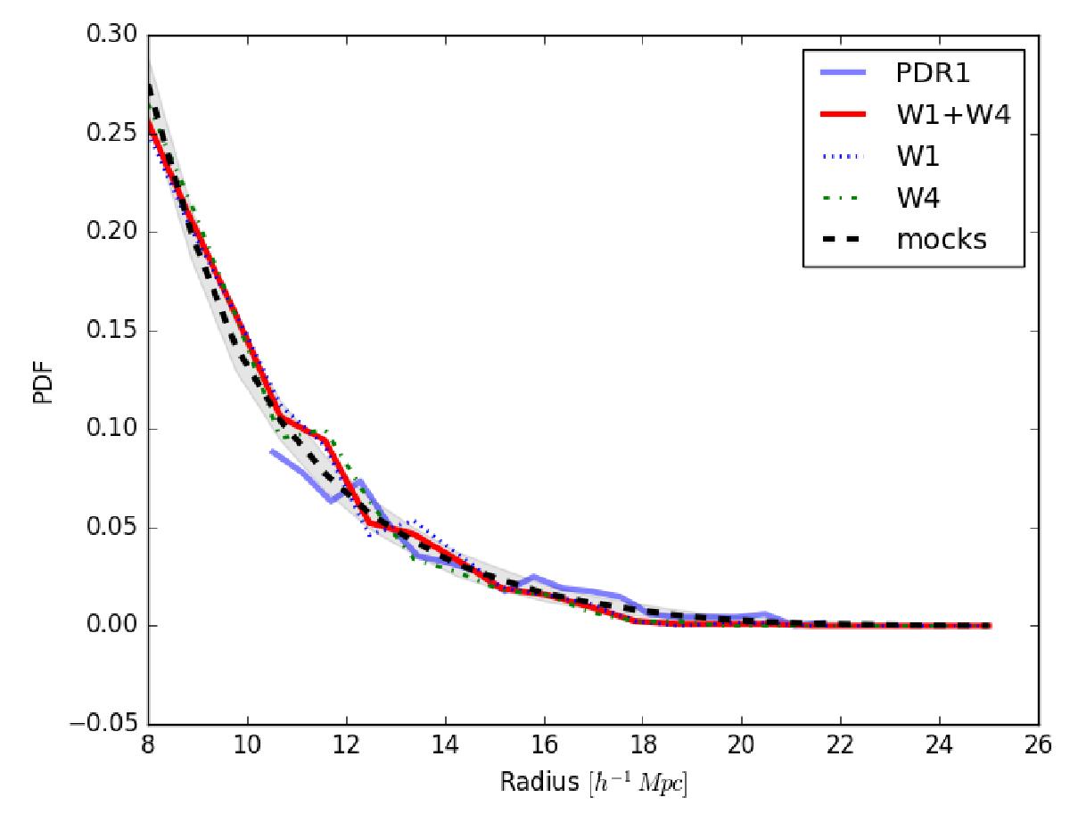
Fig. 2

Normalised histogram of void radii in this data set (red solid line) compared to those in the mock catalogues (black dashed line). The grey band shows the standard deviation of the void size histogram in the mocks. The blue and green dotted lines show the two individual fields in this data set. The histogram of void sizes in Micheletti et al. (2014) is also plotted (blue solid line). We note that this has been renormalised to account for the change in minimum void radius is this work.
Current usage metrics show cumulative count of Article Views (full-text article views including HTML views, PDF and ePub downloads, according to the available data) and Abstracts Views on Vision4Press platform.
Data correspond to usage on the plateform after 2015. The current usage metrics is available 48-96 hours after online publication and is updated daily on week days.
Initial download of the metrics may take a while.