Free Access

Fig. 1

image

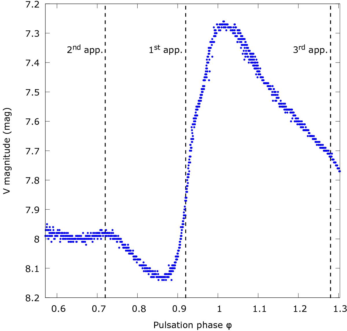
RR Lyr light curve covering the pulsation cycle from ϕ = 0.57 to ϕ = 1.31. V magnitudes were measured with the G filter (490580 nm) corresponding to the V photometric Johnson-Cousins bandwidth (490590 nm) on a Schmidt-Cassegrain 5′′ telescope. Observations were made between June 10 and 15, 2013, when the Blazhko phase was in the interval ψ = 0.74−0.87. Dashed lines show the phases around which the three different emissions appear within the Hα profile.

Current usage metrics show cumulative count of Article Views (full-text article views including HTML views, PDF and ePub downloads, according to the available data) and Abstracts Views on Vision4Press platform.

Data correspond to usage on the plateform after 2015. The current usage metrics is available 48-96 hours after online publication and is updated daily on week days.

Initial download of the metrics may take a while.