Free Access
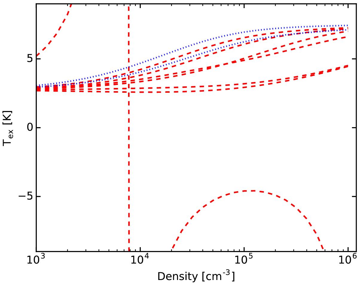
Fig. A.1

Excitation temperatures of the methanol transitions as function of the H2 density for Tkin = 7.5 K. The blue dashed curve shows the A-state transition whilst the red solid curves show the E-state transitions. The transition showing an inversion population is the one at 84.521 GHz.
Current usage metrics show cumulative count of Article Views (full-text article views including HTML views, PDF and ePub downloads, according to the available data) and Abstracts Views on Vision4Press platform.
Data correspond to usage on the plateform after 2015. The current usage metrics is available 48-96 hours after online publication and is updated daily on week days.
Initial download of the metrics may take a while.