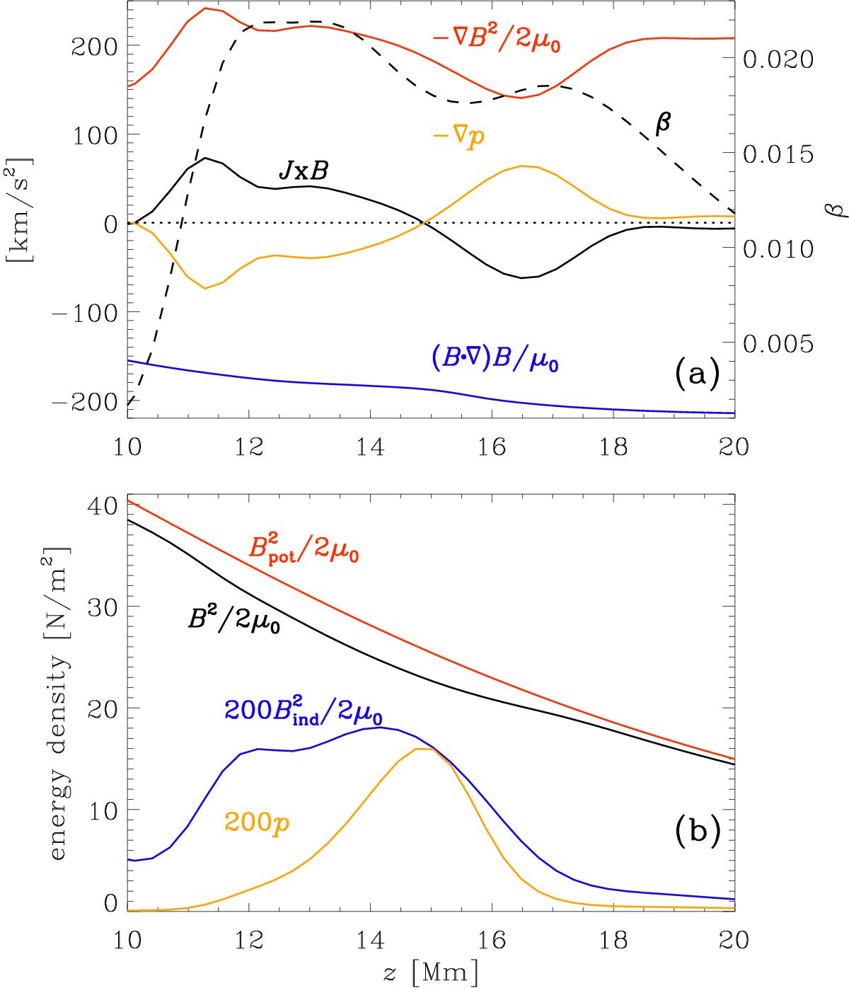
Fig. 11

Vertical force balance and energy density in the vicinity of the loop of Chen et al. (2014, 2015). Panel a: vertical force balance in terms of acceleration with contribution from the pressure gradient ∇p (orange solid line) and the Lorentz force J × B (black) divided in the magnetic pressure gradient ∇B2/ 2μ0 (red) and the magnetic tension force (B·∇)B/μ0 (blue) plotted over height in the vicinity of the loop (x = 75 Mm, y = 30 Mm). We also show the plasma β for the same region (black dashed) (y-axis on right-hand side). Panel b: energy densities of the total magnetic field B2/ 2μ0 (black line), potential magnetic field and the induced magnetic field
shown together with the thermal pressure p (orange). The horizontal black dotted line in the upper plot represents the zero value. We refer to Sect. 3.4.
Current usage metrics show cumulative count of Article Views (full-text article views including HTML views, PDF and ePub downloads, according to the available data) and Abstracts Views on Vision4Press platform.
Data correspond to usage on the plateform after 2015. The current usage metrics is available 48-96 hours after online publication and is updated daily on week days.
Initial download of the metrics may take a while.