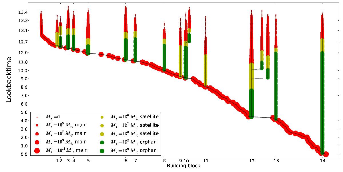
Fig. 1

Galaxy merger tree of Aquarius halo A-4, showing only those objects that contribute at least 0.1% to the total stellar mass of the accreted spheroid (in this example this corresponds to galaxies with a minimum stellar mass of 4.5 × 106M⊙). Only if a building block of a building block itself has a stellar mass above this threshold is it also shown. Building block 12 is the largest progenitor building block, contributing 45% of the accreted spheroids’ stellar mass, followed by BBs 5, 10, and 6, which contribute respectively 31%, 10%, and 4.9%.
Current usage metrics show cumulative count of Article Views (full-text article views including HTML views, PDF and ePub downloads, according to the available data) and Abstracts Views on Vision4Press platform.
Data correspond to usage on the plateform after 2015. The current usage metrics is available 48-96 hours after online publication and is updated daily on week days.
Initial download of the metrics may take a while.