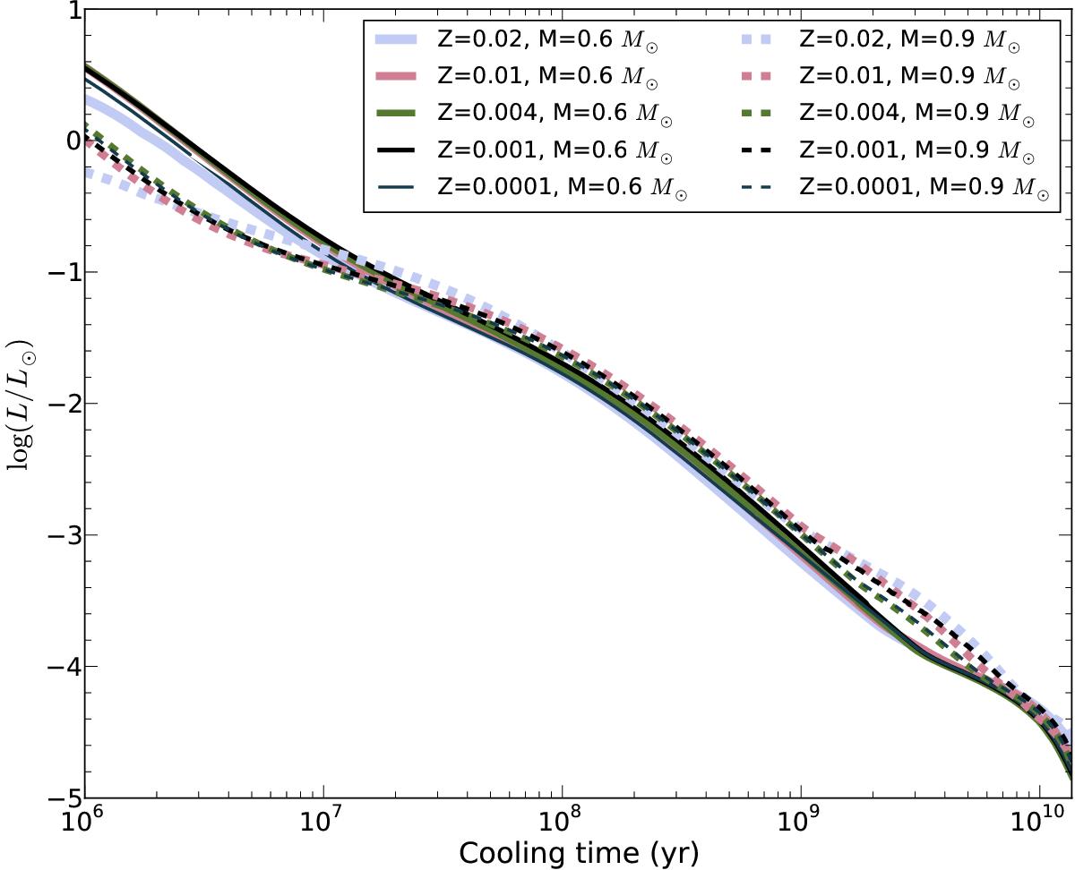
Fig. 5

White dwarf luminosity as a function of age for WDs which have progenitor stars with five different metallicities, for two different masses. Interpolation was used on cooling tracks calculated by several authors: Salaris et al. (2010) for Z = 0.02, Renedo et al. (2010) for Z = 0.01, Romero et al. (2015) for Z = 0.004 and Z = 0.001, and Althaus et al. (2015) for Z = 0.0001.
Current usage metrics show cumulative count of Article Views (full-text article views including HTML views, PDF and ePub downloads, according to the available data) and Abstracts Views on Vision4Press platform.
Data correspond to usage on the plateform after 2015. The current usage metrics is available 48-96 hours after online publication and is updated daily on week days.
Initial download of the metrics may take a while.