Free Access
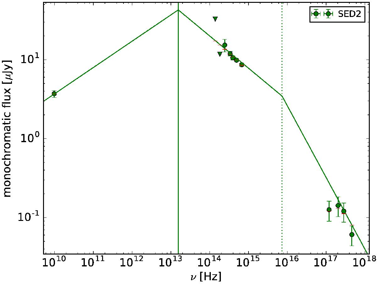
Fig. 5

Unfolded SED2 tSED2 = 57 900 s after the trigger. The radio detection allows us to determine the peak frequency of the spectrum, using a spectral slope β = −1/3 below the peak frequency, and the spectral slope derived in the multi-SED fit.
Current usage metrics show cumulative count of Article Views (full-text article views including HTML views, PDF and ePub downloads, according to the available data) and Abstracts Views on Vision4Press platform.
Data correspond to usage on the plateform after 2015. The current usage metrics is available 48-96 hours after online publication and is updated daily on week days.
Initial download of the metrics may take a while.