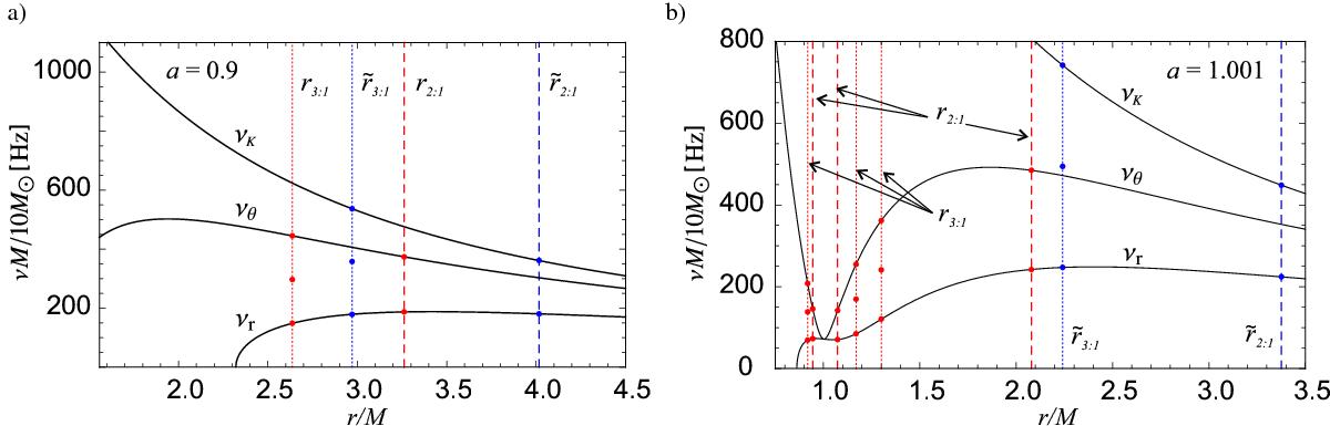
Fig. 1

Panel a: behaviour of orbital frequencies and location of several resonant radii determined by the Ep and Kep models for a = 0.9. Panel b: behaviour of orbital frequencies and location of several resonant radii determined by the Ep and Kep models for a = 1.001. For Kerr black holes there is only one specific resonant radius for each displayed resonance, while even three resonant radii may appear for a single Ep model in the case of a super-spinning compact object or naked singularity.
Current usage metrics show cumulative count of Article Views (full-text article views including HTML views, PDF and ePub downloads, according to the available data) and Abstracts Views on Vision4Press platform.
Data correspond to usage on the plateform after 2015. The current usage metrics is available 48-96 hours after online publication and is updated daily on week days.
Initial download of the metrics may take a while.