Free Access

Fig. 2

image

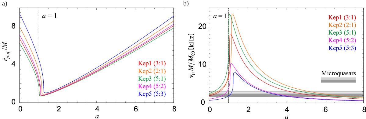
Panel a: resonant radii of Kep models calculated in Kerr spacetimes. Panel b: resonant frequencies of Kep models calculated in Kerr spacetimes. The shaded region corresponds to observational values of νU × M determined for Galactic microquasars (see Fig. 4 for details and Sect. 5 for a discussion).

Current usage metrics show cumulative count of Article Views (full-text article views including HTML views, PDF and ePub downloads, according to the available data) and Abstracts Views on Vision4Press platform.

Data correspond to usage on the plateform after 2015. The current usage metrics is available 48-96 hours after online publication and is updated daily on week days.

Initial download of the metrics may take a while.