Fig. 3

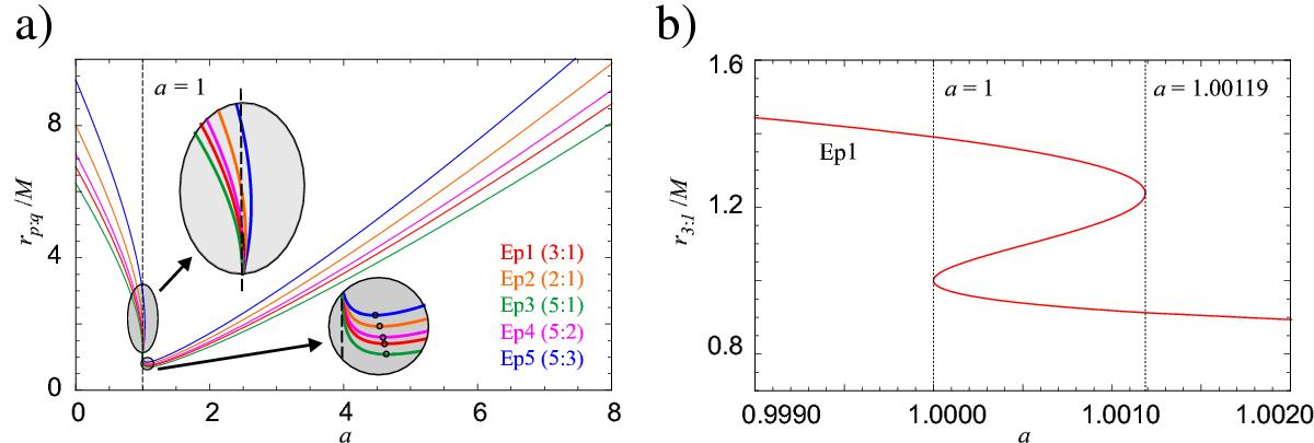
Panel a: resonant radii of Ep models calculated in Kerr spacetimes. The enlarged area emphasizes a region close to a = 1 where each a(rp:q) function exhibits both a local minimum and a local maximum. Global minima of rp:q(a) functions are denoted by circles. Panel b: detailed view of the behaviour of the r3:1(a) relation for a ≈ 1. The global minimum of r3:1 is not shown since it occurs only for a higher value of spin, a3:1 = 1.08471.
Current usage metrics show cumulative count of Article Views (full-text article views including HTML views, PDF and ePub downloads, according to the available data) and Abstracts Views on Vision4Press platform.
Data correspond to usage on the plateform after 2015. The current usage metrics is available 48-96 hours after online publication and is updated daily on week days.
Initial download of the metrics may take a while.