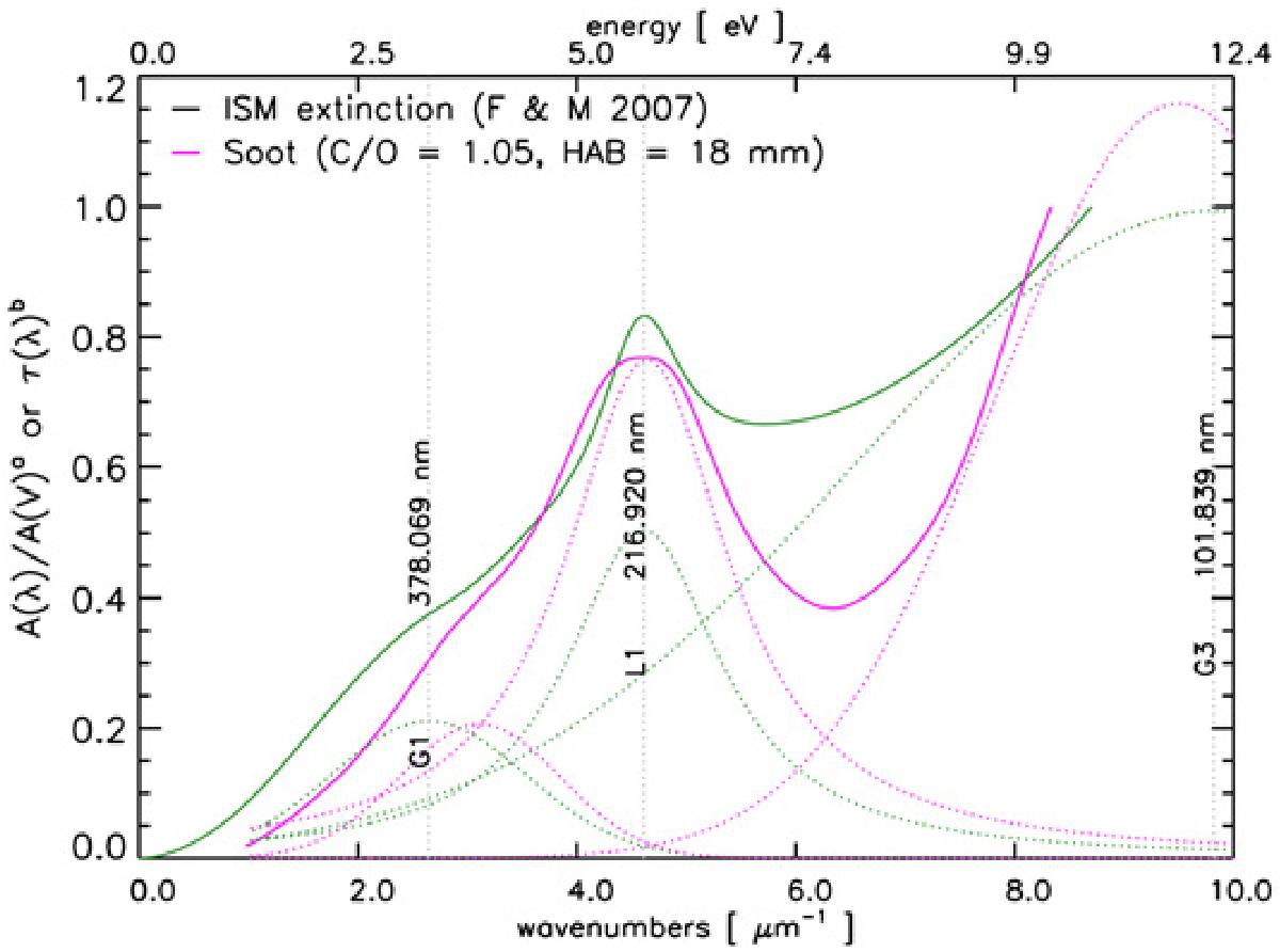
Fig. 15

Deconvolution of the average interstellar extinction curve (Fitzpatrick & Massa 2007) (anormalized to its maximum) following the deconvolution procedure of laboratory soots described in Sect. 3.1. The L1 peak is centered at ωc = 4.609μm-1 with a FWHM = 1.779 μm-1. While the position is unchanged with respect to the parametrization of Fitzpatrick & Massa (2007), the original FWHM value is almost doubled. For comparison, the spectra of a laboratory soot prepared in a flame with C/O = 1.05 and HAB = 18 mm is included, showing a similarly intense and wide π-π∗ transition, a G1 peak, and a slightly less intense FUV rise.
Current usage metrics show cumulative count of Article Views (full-text article views including HTML views, PDF and ePub downloads, according to the available data) and Abstracts Views on Vision4Press platform.
Data correspond to usage on the plateform after 2015. The current usage metrics is available 48-96 hours after online publication and is updated daily on week days.
Initial download of the metrics may take a while.