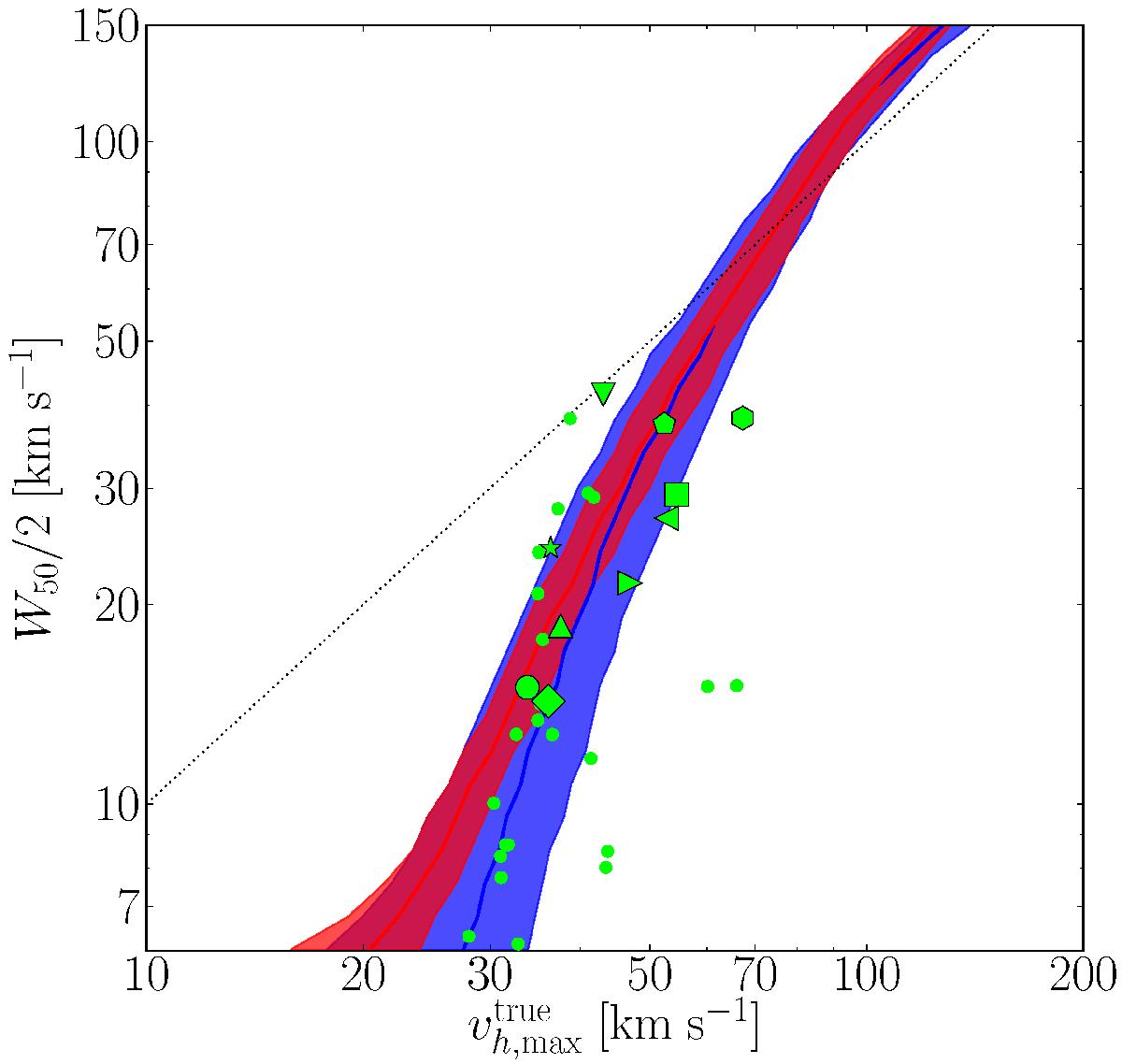
Fig. 7

The moria dwarfs in the W50−vh,max plane. Green symbols are the simulations for which resolved rotation curves are available, with their symbols as indicated in Table 1. Green dots indicate moria simulations not explicitly discussed. The red and blue lines are the P16 relations derived from different observational datasets, with the bands around them representing their uncertainty.
Current usage metrics show cumulative count of Article Views (full-text article views including HTML views, PDF and ePub downloads, according to the available data) and Abstracts Views on Vision4Press platform.
Data correspond to usage on the plateform after 2015. The current usage metrics is available 48-96 hours after online publication and is updated daily on week days.
Initial download of the metrics may take a while.