Free Access
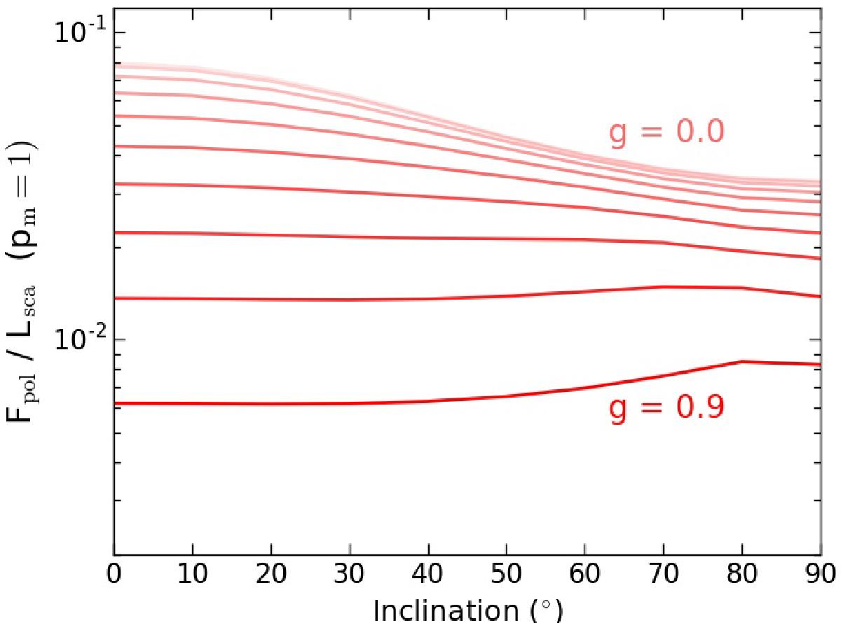
Fig. 13

Ratio of polarized flux to the scattered light luminosity for optically thin debris disks as a function of disk inclination and scattering asymmetry parameter gsca (plotted for gsca = 0.0,0.2,0.3,...,0.9). The ratio is independent of the disk geometry and follows from the scattering phase functions as shown in Fig. 8.
Current usage metrics show cumulative count of Article Views (full-text article views including HTML views, PDF and ePub downloads, according to the available data) and Abstracts Views on Vision4Press platform.
Data correspond to usage on the plateform after 2015. The current usage metrics is available 48-96 hours after online publication and is updated daily on week days.
Initial download of the metrics may take a while.