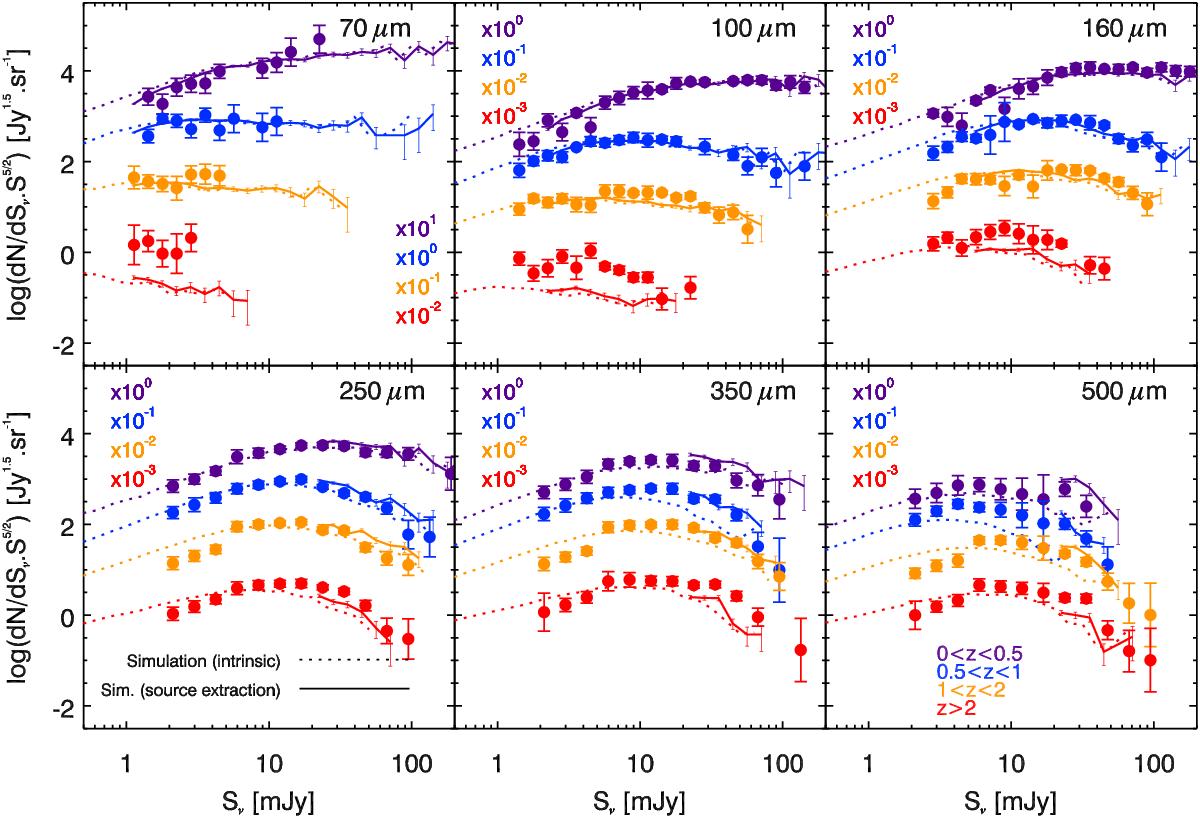
Fig. 10

Number counts per redshift slice. Purple, blue, orange, and red are used for the z< 0.5, 0.5 <z< 1, 1 <z< 2, and z> 2 slices, respectively. The data points are from Berta et al. (2011) at 70, 100, and 160 μm and Béthermin et al. (2012c) at 250, 350, and 500 μm. The dotted lines are the intrinsic distributions in the simulation and the solid lines are the counts extracted using 24 μm priors (see Sect 3). Figure adapted from Béthermin et al. (2012c).
Current usage metrics show cumulative count of Article Views (full-text article views including HTML views, PDF and ePub downloads, according to the available data) and Abstracts Views on Vision4Press platform.
Data correspond to usage on the plateform after 2015. The current usage metrics is available 48-96 hours after online publication and is updated daily on week days.
Initial download of the metrics may take a while.