Free Access
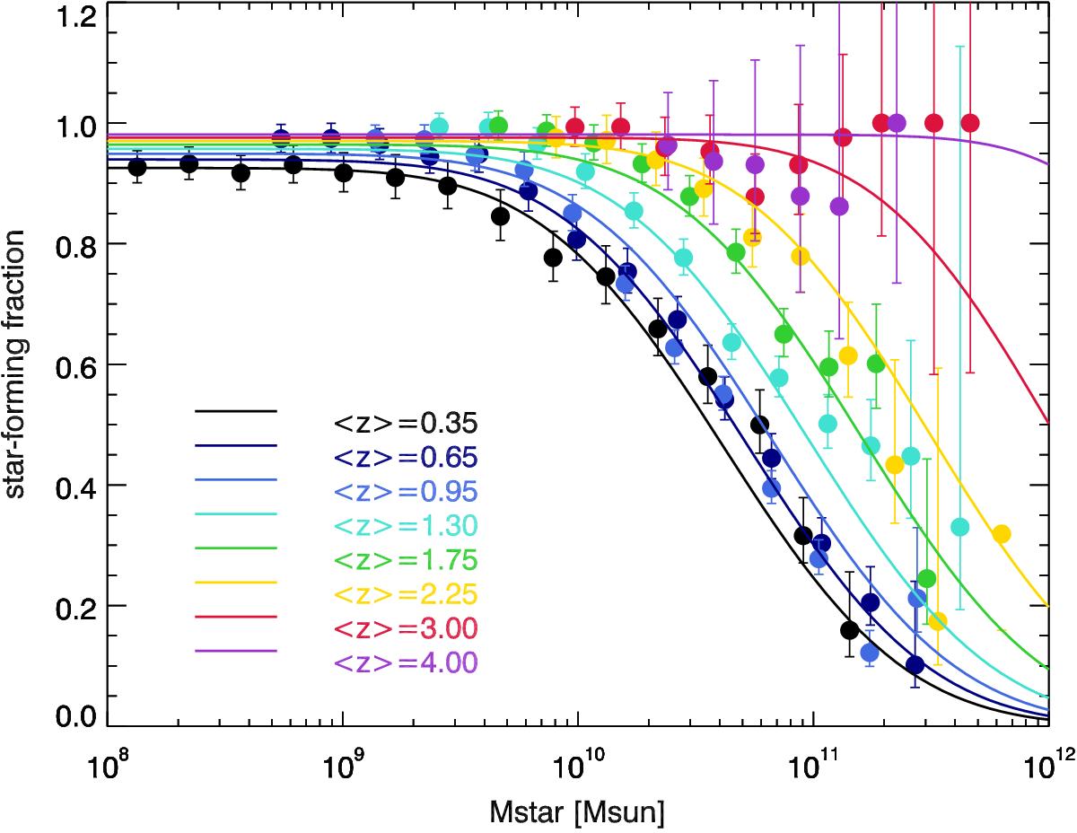
Fig. 2

Fraction of star-forming galaxies versus stellar mass at various redshifts. The data points are from Davidzon et al. (2017). The solid line is a fit by the parametric form described in Sect. 2.4.
Current usage metrics show cumulative count of Article Views (full-text article views including HTML views, PDF and ePub downloads, according to the available data) and Abstracts Views on Vision4Press platform.
Data correspond to usage on the plateform after 2015. The current usage metrics is available 48-96 hours after online publication and is updated daily on week days.
Initial download of the metrics may take a while.