Free Access

Fig. 6

image

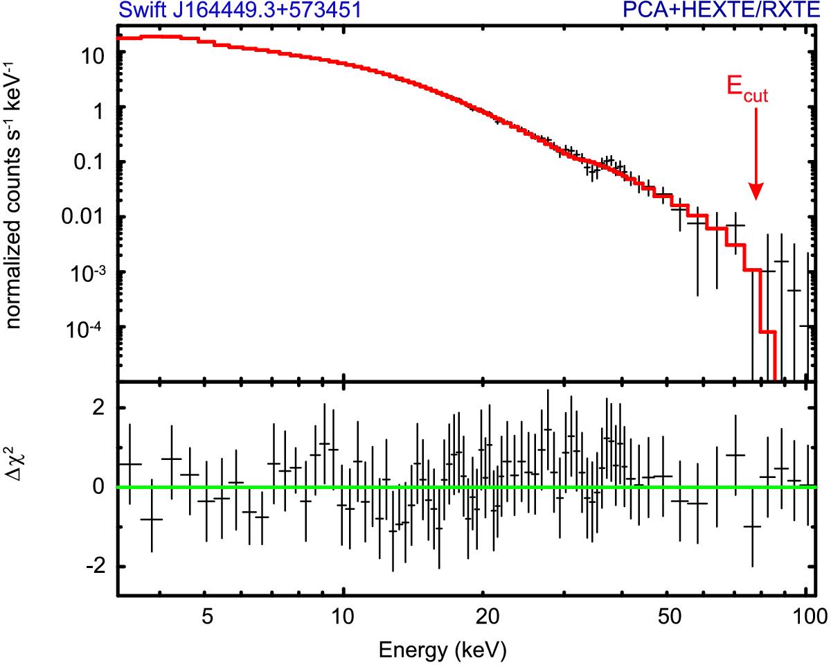
RXTE (3–100) keV spectrum of Swift J1644+57. The observation taken on 2011 March 30 (MJD = 55 650.0, ID = 96 242-01-01-00) was fitted using CompTB model with α = 0.86 ± 0.03, kTe = 46 ± 3 keV, log (A) = −0.5 ± 0.2, kTs = 0.3 keV (fixed)with the intrinsic column density of NH,z = 0.354 = 1.5 × 1022 cm-2 (at redshift z = 0.354) and the Galactic absorption NH,Gal = 2 × 1020 cm-2( for 120 d.o.f.). The high energy cut-off is clearly seen at Ecut = 80 keV.

Current usage metrics show cumulative count of Article Views (full-text article views including HTML views, PDF and ePub downloads, according to the available data) and Abstracts Views on Vision4Press platform.

Data correspond to usage on the plateform after 2015. The current usage metrics is available 48-96 hours after online publication and is updated daily on week days.

Initial download of the metrics may take a while.