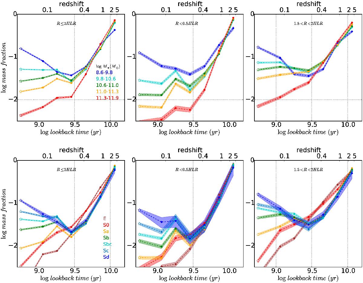
Fig. 5

The SFH is represented here by the fraction of stellar mass formed in each epoch, m(t), averaged over different M⋆ (upper panels) and Hubble type (bottom) bins. Left, middle, and right panels show the average m(t) curves for different regions in the galaxy: the whole galaxy (left), the inner regions (middle), and the outer regions (right). The shaded bands around the mean curves represent ± the error in the mean, computed as the rms dispersion of the corresponding m(t) values divided by the square root of the number of galaxies in each bin.
Current usage metrics show cumulative count of Article Views (full-text article views including HTML views, PDF and ePub downloads, according to the available data) and Abstracts Views on Vision4Press platform.
Data correspond to usage on the plateform after 2015. The current usage metrics is available 48-96 hours after online publication and is updated daily on week days.
Initial download of the metrics may take a while.