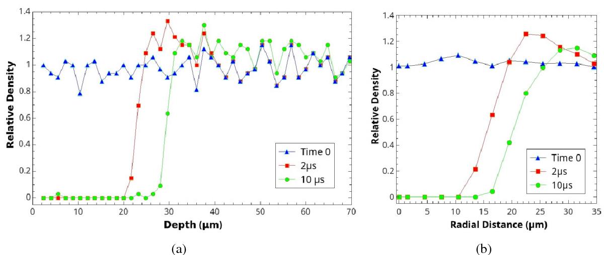
Fig. 3

a) Relative density, normalized to the average target density, below the impact crater formed by the impact of a Np = 50 projectile at velocity 150 m s-1, Fig. 1e. Data are taken in a prismatic column with a square cross-section of 10 μm edge length below the center of the impact point. Depth 0 denotes the position of the original surface. b) Relative density for the same event evaluated in spherical shells of 5 μm thickness around the projectile impact point.
Current usage metrics show cumulative count of Article Views (full-text article views including HTML views, PDF and ePub downloads, according to the available data) and Abstracts Views on Vision4Press platform.
Data correspond to usage on the plateform after 2015. The current usage metrics is available 48-96 hours after online publication and is updated daily on week days.
Initial download of the metrics may take a while.