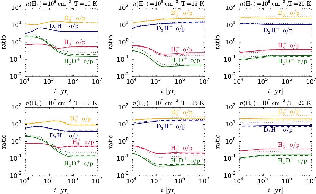
Fig. 3

Spin-state abundance ratios of the various isotopologs as functions of time. The medium density is n(H2) = 106 cm-3 (upper row) or n(H2) = 107 cm-3 (lower row). From left to right, the panels show calculations assuming Tgas = Tdust = 10 , 15, or 20 K. Species-to-species rate coefficients are adopted in two of the models (method 1, dashed lines; method 2, solid lines). The dotted lines show the results of calculations using the ground-state-to-species rate coefficients.
Current usage metrics show cumulative count of Article Views (full-text article views including HTML views, PDF and ePub downloads, according to the available data) and Abstracts Views on Vision4Press platform.
Data correspond to usage on the plateform after 2015. The current usage metrics is available 48-96 hours after online publication and is updated daily on week days.
Initial download of the metrics may take a while.