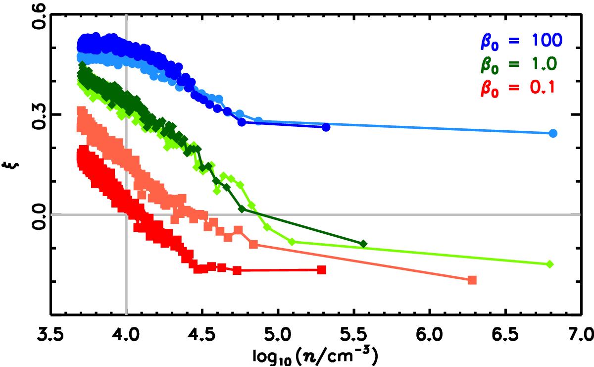
Fig. 1

Relative orientation parameter, ξ, as a function of particle density, n ≡ ρ/μ, in the simulations used in Soler et al. (2013). The values of ξ correspond to the relative orientation between ∇ρ and B in n-bins with an equal number of voxels, all with n> 500 cm-3. The values ξ> 0 correspond to ∇ρ mostly perpendicular to B and ξ< 0 correspond to ∇ρ mostly parallel to B. The gray horizontal line is ξ = 0, which corresponds to the case where there is no preferred relative orientation between ∇ρ and B. The darker colors represent the early snapshots in the simulation and the lighter colors represent the later snapshots. The gray vertical line, drawn for reference, corresponds to n = 104 cm-3.
Current usage metrics show cumulative count of Article Views (full-text article views including HTML views, PDF and ePub downloads, according to the available data) and Abstracts Views on Vision4Press platform.
Data correspond to usage on the plateform after 2015. The current usage metrics is available 48-96 hours after online publication and is updated daily on week days.
Initial download of the metrics may take a while.