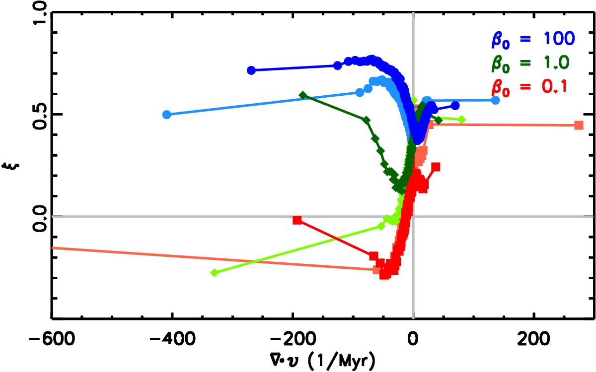
Fig. 2

Relative orientation parameter, ξ, as a function of the velocity divergence, ∇·v ≡ ∂ivi, in the simulations introduced in Soler et al. (2013). The values of ξ correspond to the relative orientation between ∇ρ and B in ∇·v-bins with an equal number of voxels, all with n> 500 cm-3. The colors and the symbols follow the conventions introduced in Fig. 1. The gray vertical line, drawn for reference, corresponds to ∇·v = 0 Myr-1.
Current usage metrics show cumulative count of Article Views (full-text article views including HTML views, PDF and ePub downloads, according to the available data) and Abstracts Views on Vision4Press platform.
Data correspond to usage on the plateform after 2015. The current usage metrics is available 48-96 hours after online publication and is updated daily on week days.
Initial download of the metrics may take a while.