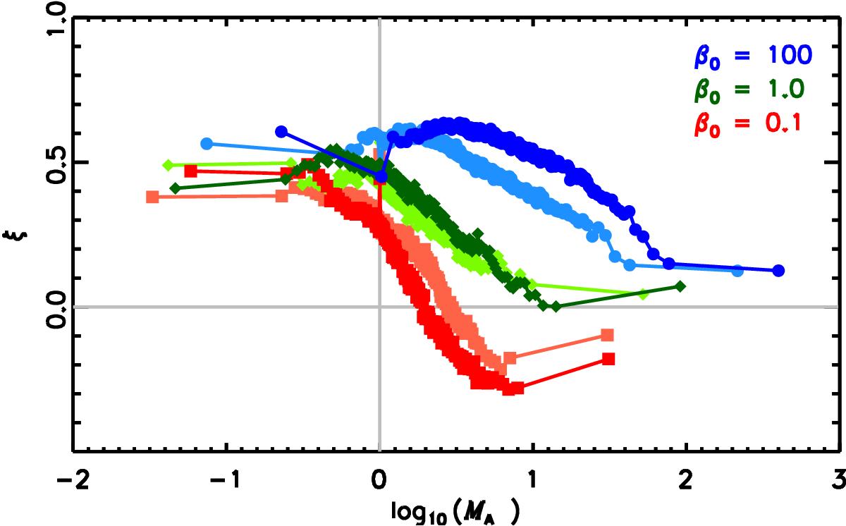
Fig. 6

Relative orientation parameter, ξ, as a function of the Alfvén Mach number, ℳA, in the simulations introduced in Soler et al. (2013). The darker colors represent the early snapshots in the simulation and the lighter colors represent the later snapshots. The values ξ> 0 correspond to ∇ρ mostly perpendicular to B and ξ< 0 correspond to ∇ρ mostly parallel to B. The gray horizontal line is ξ = 0, which corresponds to the case where there is no preferred relative orientation between ∇ρ and B. The gray vertical line, drawn for reference, corresponds to ℳA = 1, which marks the border between sub-, ℳA< 1, and super-Alfvénic, ℳA> 1, turbulence.
Current usage metrics show cumulative count of Article Views (full-text article views including HTML views, PDF and ePub downloads, according to the available data) and Abstracts Views on Vision4Press platform.
Data correspond to usage on the plateform after 2015. The current usage metrics is available 48-96 hours after online publication and is updated daily on week days.
Initial download of the metrics may take a while.