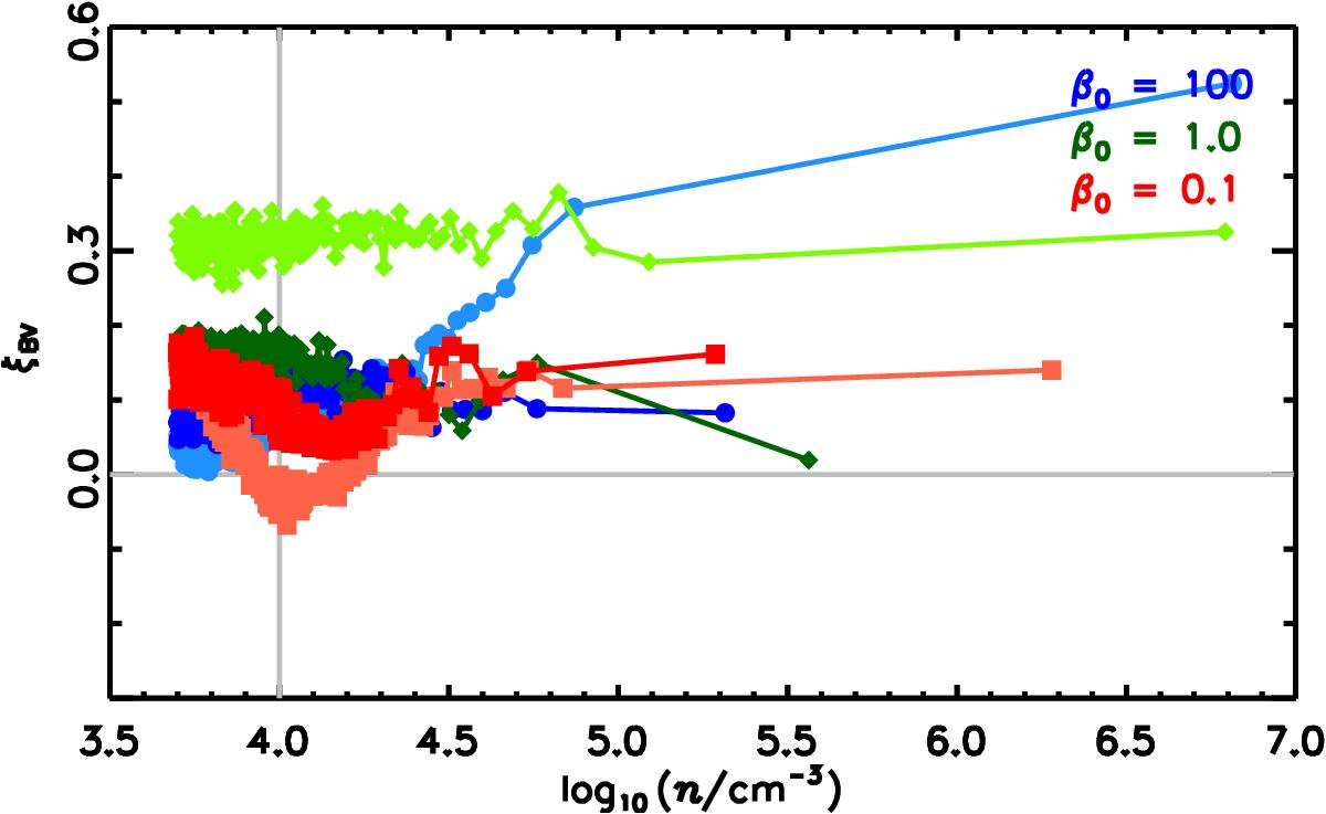
Fig. A.1

Relative orientation parameter, ξBV, as a function of particle density, n ≡ ρ/μ, in the simulations used in Soler et al. (2013). The values of ξBV correspond to the relative orientation between B and v in n-bins with an equal number of voxels, all with n> 500 cm-3. The values ξBV> 0 correspond to B mostly perpendicular to v and ξBV< 0 correspond to B mostly parallel to v. The gray horizontal line is ξBV = 0, which corresponds to the case where there is no preferred relative orientation between B and v. The colors and the symbols represent the initial magnetization values quantified by β0. The darker colors represent the early snapshots in the simulation and the lighter colors represent the later snapshots. The gray vertical line, drawn for reference, corresponds to n = 104 cm-3.
Current usage metrics show cumulative count of Article Views (full-text article views including HTML views, PDF and ePub downloads, according to the available data) and Abstracts Views on Vision4Press platform.
Data correspond to usage on the plateform after 2015. The current usage metrics is available 48-96 hours after online publication and is updated daily on week days.
Initial download of the metrics may take a while.