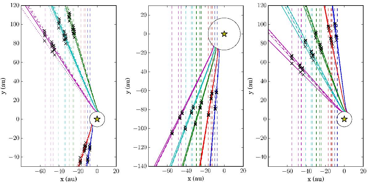
Fig. 9

Orbiting parent body. Trajectories of the particles seen from above for the five structures in the case of a rotating parent body (see Sects. 3.2.1 and 3.2.2 for details). Left: model without constraints. Middle: particles going toward the observer. Right: particles going away from the observer. For each structure five similar trajectories, sometimes superimposed, are displayed corresponding to best fits obtained when the reference structure is varied in the model. The color-coding is the same as in the previous figures. The solid black circle is the trajectory of the parent body. The crosses correspond to the observing dates.
Current usage metrics show cumulative count of Article Views (full-text article views including HTML views, PDF and ePub downloads, according to the available data) and Abstracts Views on Vision4Press platform.
Data correspond to usage on the plateform after 2015. The current usage metrics is available 48-96 hours after online publication and is updated daily on week days.
Initial download of the metrics may take a while.