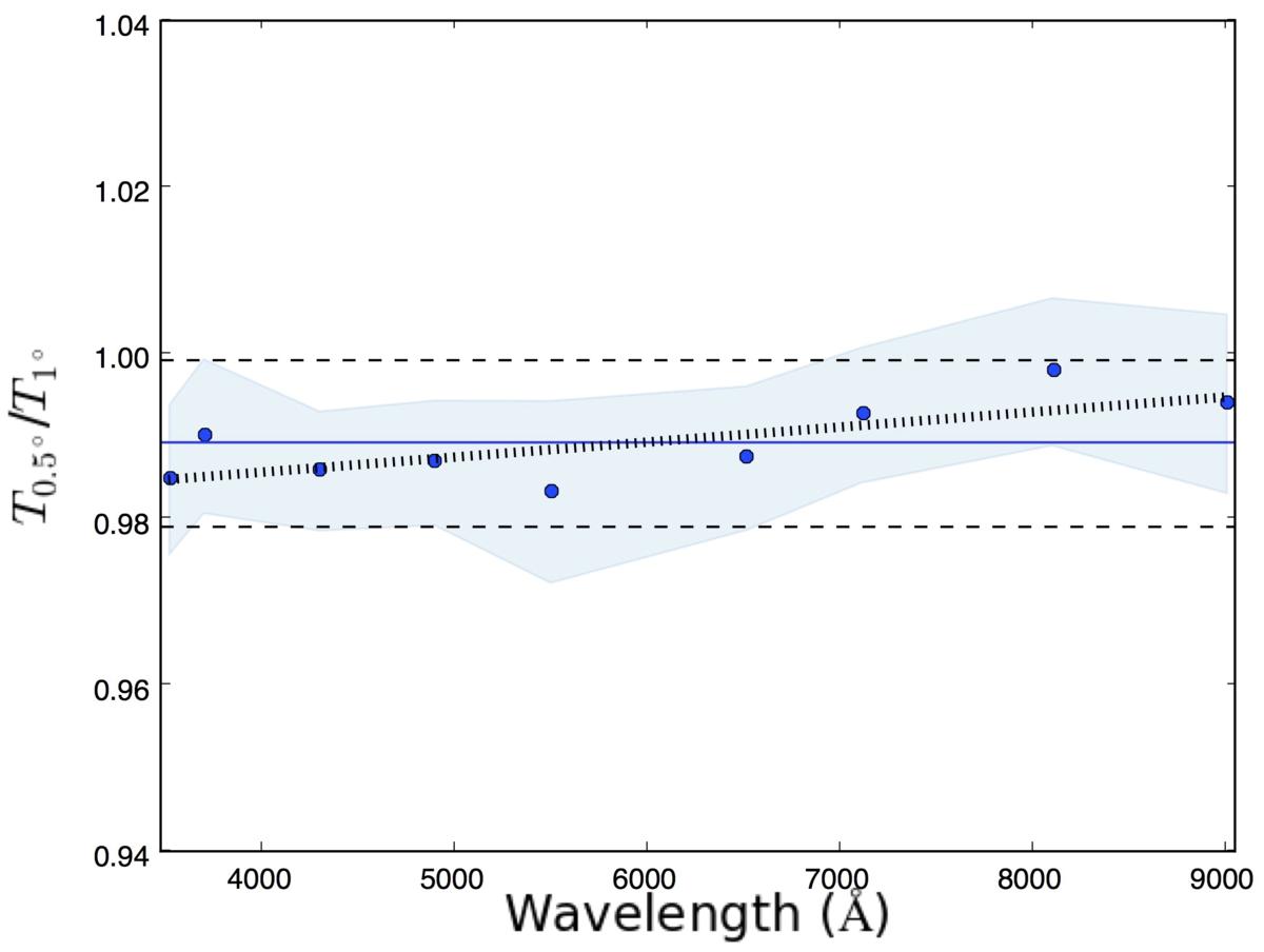
Fig. 12

Ratio between the quantity Tλi is shown for the same SCALA wavelengths observed with 0.5° and 1° SCALA beam widths. An offset of 0.989 (blue full line) is present. There is no strong trend with wavelength. The values across wavelengths agree to much better than 1% (black dashed lines), having a standard deviation of 0.4%. The shaded area around the circles is an indication of how much the ratio varies from spaxel to spaxel. The dotted line is a linear fit to the data showing that a small slope may remain (see text).
Current usage metrics show cumulative count of Article Views (full-text article views including HTML views, PDF and ePub downloads, according to the available data) and Abstracts Views on Vision4Press platform.
Data correspond to usage on the plateform after 2015. The current usage metrics is available 48-96 hours after online publication and is updated daily on week days.
Initial download of the metrics may take a while.