Free Access
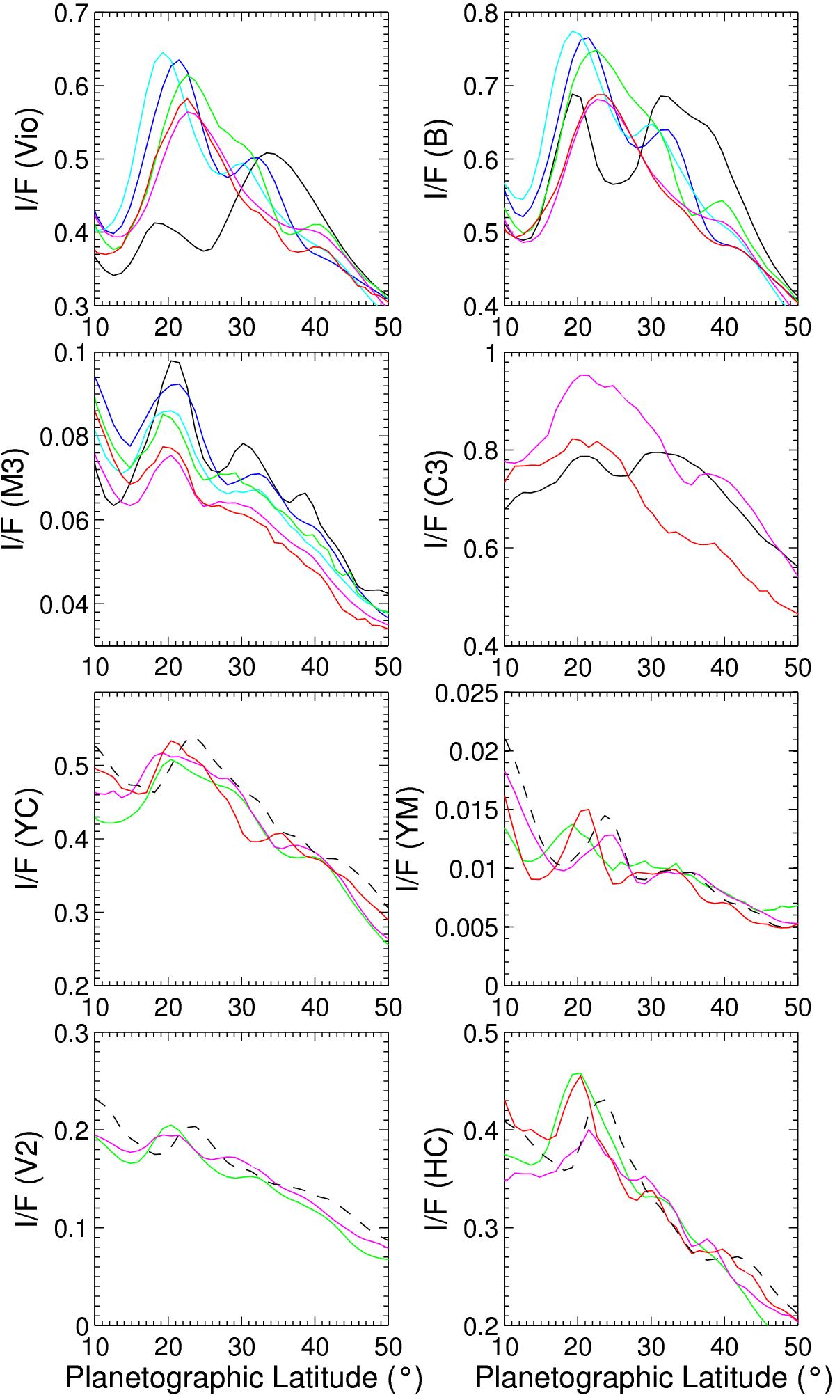
Fig. 16

Absolute reflectivity of Jupiter at selected wavelengths from December 2012 to July 2016. The black line corresponds to December 2012, blue to December 2013, cyan to April 2014, green to March 2015, magenta to March 2016, red to May 2016 and the black dashed line to July 2016.
Current usage metrics show cumulative count of Article Views (full-text article views including HTML views, PDF and ePub downloads, according to the available data) and Abstracts Views on Vision4Press platform.
Data correspond to usage on the plateform after 2015. The current usage metrics is available 48-96 hours after online publication and is updated daily on week days.
Initial download of the metrics may take a while.