Fig. 1

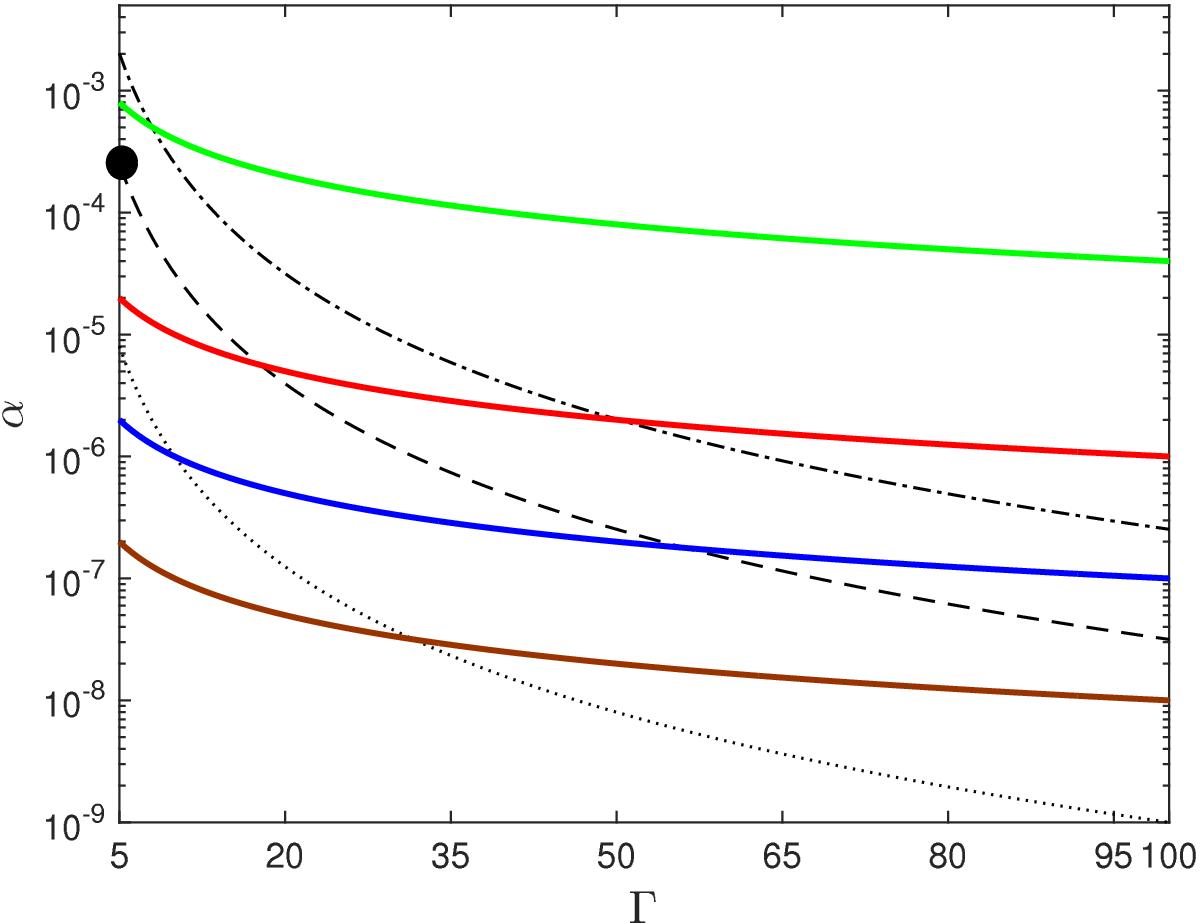
Function αkin(Γ): dashed dotted black line μR = 2.5; dashed black line μR = 10; dotted black line μR = 100. Function αϵ(Γ): green line kBTp/ (mec2) = 4 × 10-3; red line kBTp/ (mec2) = 10-4; blue line kBTp/ (mec2) = 10-5; brown line kBTp/ (mec2) = 10-6. The black point illustrates the parameters chosen for simulation run 1 that satisfies all criteria.
Current usage metrics show cumulative count of Article Views (full-text article views including HTML views, PDF and ePub downloads, according to the available data) and Abstracts Views on Vision4Press platform.
Data correspond to usage on the plateform after 2015. The current usage metrics is available 48-96 hours after online publication and is updated daily on week days.
Initial download of the metrics may take a while.