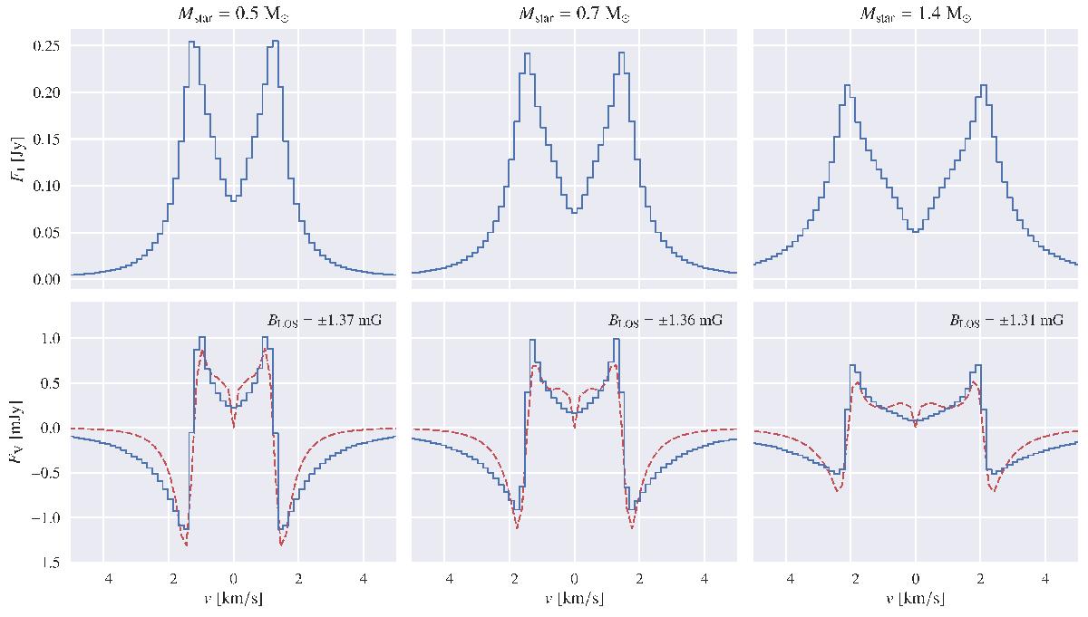
Fig. 10

Net flux (FI, upper) and circularly polarized fraction (FV, lower) simulated for the reference circumstellar disk model (113.144 GHz CN line emission). In the lower images, the derivative of FI is shown and fitted to FV to estimate the LOS magnetic field strength (red dashed line). The profiles on the left, middle, and right side are simulated with a mass of the central star of Mstar = 0.5 M⊙, Mstar = 0.7 M⊙, and Mstar = 1.4 M⊙, respectively.
Current usage metrics show cumulative count of Article Views (full-text article views including HTML views, PDF and ePub downloads, according to the available data) and Abstracts Views on Vision4Press platform.
Data correspond to usage on the plateform after 2015. The current usage metrics is available 48-96 hours after online publication and is updated daily on week days.
Initial download of the metrics may take a while.