Fig. 1

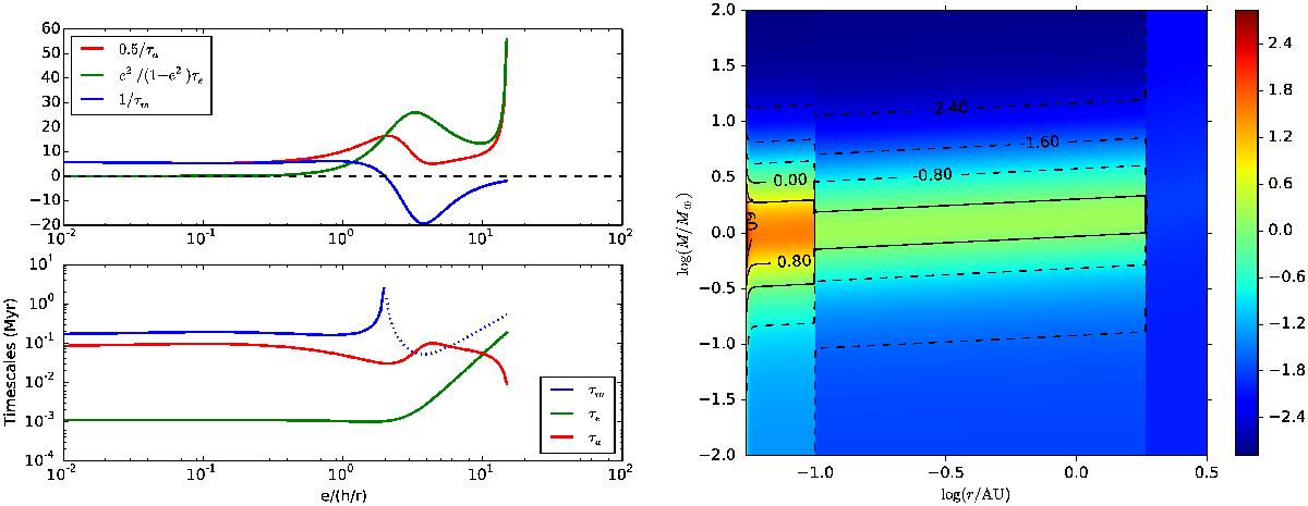
Left panel, Top: comparing terms in Eq. (24) for 1 Earth-mass planet. Left panel, Bottom: corresponding time scales. The dotted line indicates when the “migration” time scale τm becomes negative, which could lead to an artificial outward migration if τm is used in place of τa in Eq. (21). Right panel: normalised torques for various planetary masses in the inner region of a disc. The torque becomes positive for an Earth-mass planet. The discontinuity around 0.1 AU is caused by the treatment of the inner disc edge (see Sect. 2.1).
Current usage metrics show cumulative count of Article Views (full-text article views including HTML views, PDF and ePub downloads, according to the available data) and Abstracts Views on Vision4Press platform.
Data correspond to usage on the plateform after 2015. The current usage metrics is available 48-96 hours after online publication and is updated daily on week days.
Initial download of the metrics may take a while.