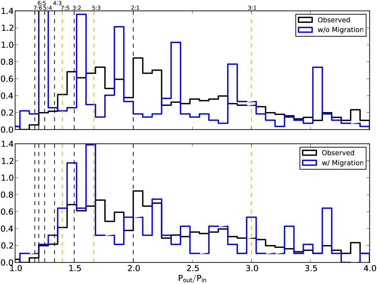
Fig. 12

Distributions of period ratios of all planet pairs (not just adjacent ones) in multiple-planet systems which have only planets with masses above 0.1 ME. The top and bottom panels show these distributions for planets formed in simulations without and with migration, respectively. The corresponding values for confirmed planets that are observed by all kinds of detection methods are shown in black. The peak near the 6:5 resonance is due to initial separations of planetary embryos (see text for details). The planetary systems formed in our simulations tend to be more compact than typical observed planetary systems, but the trend agrees well with that for Kepler planets (Fabrycky et al. 2014).
Current usage metrics show cumulative count of Article Views (full-text article views including HTML views, PDF and ePub downloads, according to the available data) and Abstracts Views on Vision4Press platform.
Data correspond to usage on the plateform after 2015. The current usage metrics is available 48-96 hours after online publication and is updated daily on week days.
Initial download of the metrics may take a while.