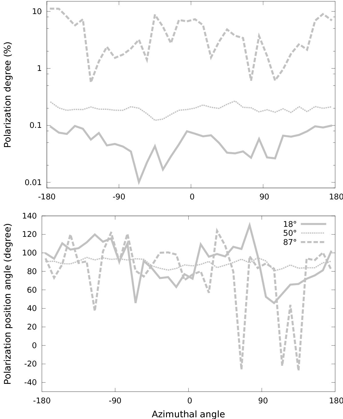
Fig. 2

Optical polarization (5000 Å) from a clumpy dusty torus without warping effects. The top panel shows the polarization degree P and the bottom panel the polarization position angle PPA. The lines refer to the inclination of the model: the solid line indicates a viewing angle of 18° (Seyfert-I view), the dotted line an intermediate inclination of 50°, and the long dashed line a viewing angle of 87° (Seyfert-II view).
Current usage metrics show cumulative count of Article Views (full-text article views including HTML views, PDF and ePub downloads, according to the available data) and Abstracts Views on Vision4Press platform.
Data correspond to usage on the plateform after 2015. The current usage metrics is available 48-96 hours after online publication and is updated daily on week days.
Initial download of the metrics may take a while.