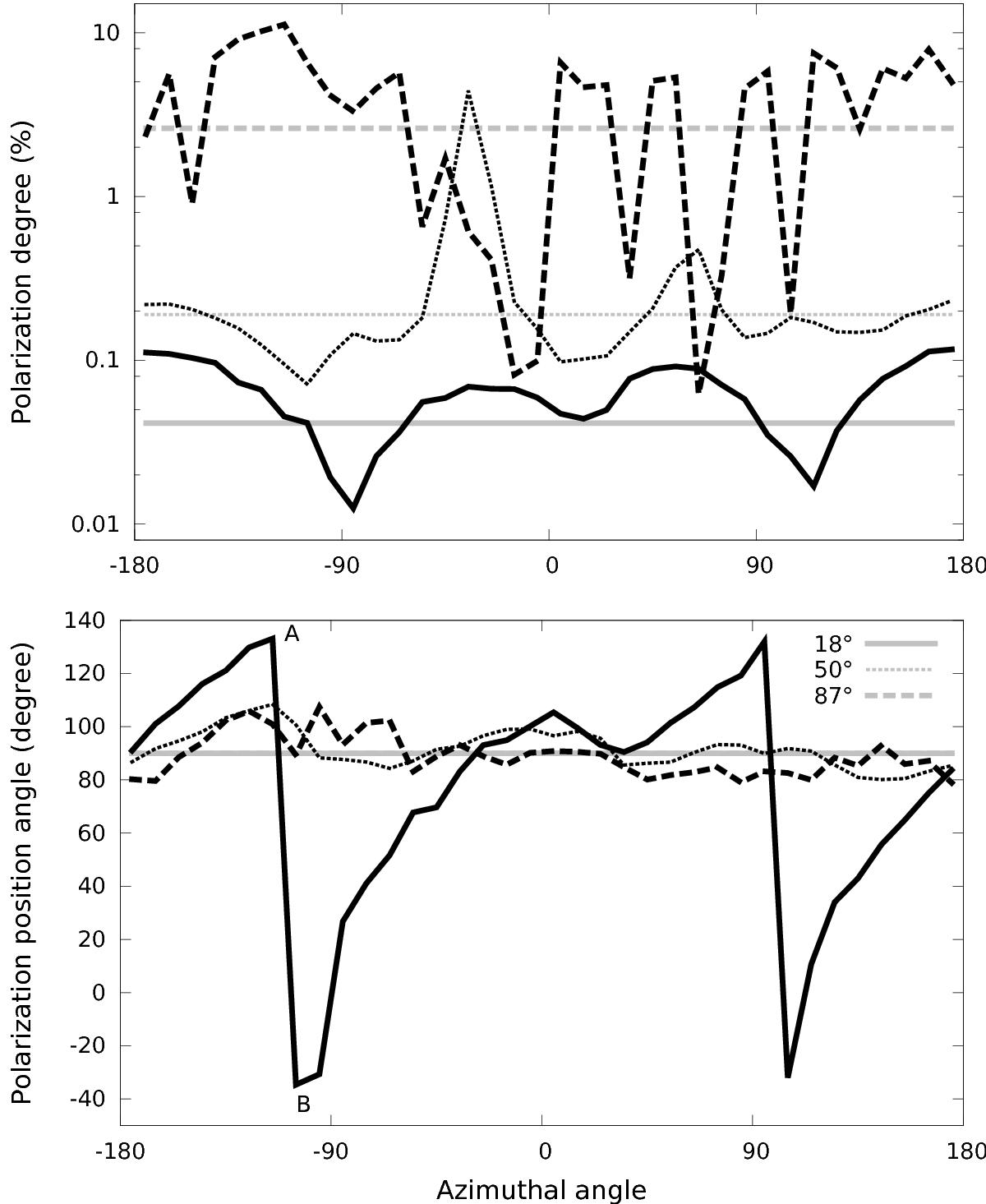
Fig. 3

Optical polarization (5000 Å) from a warped and clumpy dusty torus (in black) with Rwarp = 2 pc and θwarp = 30°, overplotted onto the azimuthally integrated polarization from the test model (in gray). The top panel shows the polarization degree P and the bottom panel the polarization position angle PPA. Points A and B mark the azimuthal bins before and after the large amplitude variation in PPA discussed in the text and developed in Fig. 4. The legend is the same as in Fig. 2.
Current usage metrics show cumulative count of Article Views (full-text article views including HTML views, PDF and ePub downloads, according to the available data) and Abstracts Views on Vision4Press platform.
Data correspond to usage on the plateform after 2015. The current usage metrics is available 48-96 hours after online publication and is updated daily on week days.
Initial download of the metrics may take a while.