Free Access
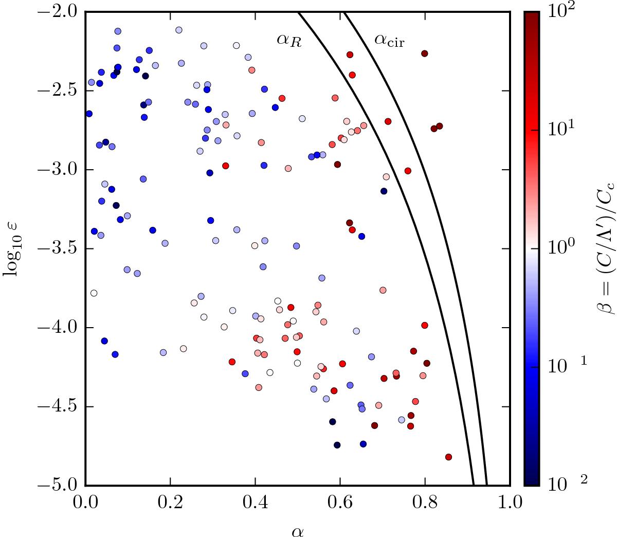
Fig. 7

Pairs of adjacent planets represented in the α−ε plane. The color corresponds to the AMD-stability coefficient. We plotted the two limits αR corresponding to the limit between the collision and the MMR-overlap-based criterion and αcir corresponding to the MMR overlap for circular orbits.
Current usage metrics show cumulative count of Article Views (full-text article views including HTML views, PDF and ePub downloads, according to the available data) and Abstracts Views on Vision4Press platform.
Data correspond to usage on the plateform after 2015. The current usage metrics is available 48-96 hours after online publication and is updated daily on week days.
Initial download of the metrics may take a while.