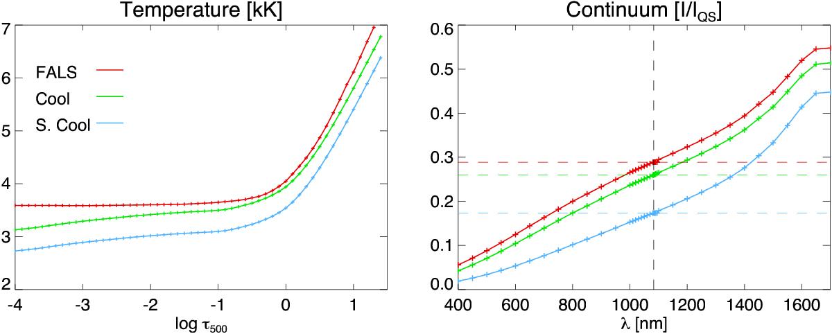
Fig. 4

Variation of umbra continuum intensity with wavelength (right panel) for three different models (left): the FALS, the cool model of Collados et al. (1994), and a super-cool model obtained from the cool model. The vertical line shows 1083 nm wavelength while horizontal lines pinpoint the corresponding continuum intensity values at 1083 nm for the three models.
Current usage metrics show cumulative count of Article Views (full-text article views including HTML views, PDF and ePub downloads, according to the available data) and Abstracts Views on Vision4Press platform.
Data correspond to usage on the plateform after 2015. The current usage metrics is available 48-96 hours after online publication and is updated daily on week days.
Initial download of the metrics may take a while.