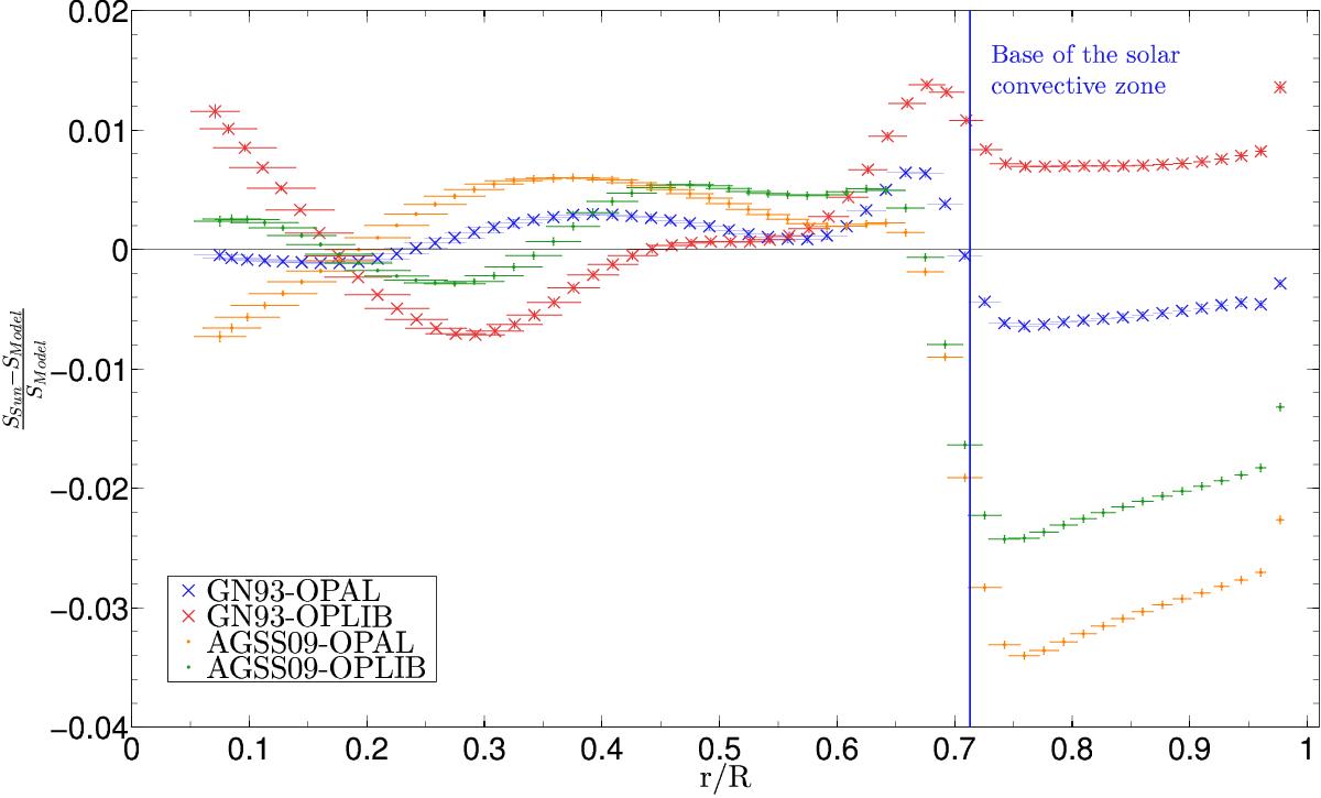
Fig. 2

Comparison of the entropy profile between AGSS09 and GN93 SSMs. The red and blue crosses illustrate inversion results for the profile of the entropy proxy in the Sun for the GN93 SSM built with the OPAL and OPLIB opacities. The green and orange circles illustrate the effects of changing from the old OPAL opacities to the recent OPLIB opacities in AGSS09 SSMs.
Current usage metrics show cumulative count of Article Views (full-text article views including HTML views, PDF and ePub downloads, according to the available data) and Abstracts Views on Vision4Press platform.
Data correspond to usage on the plateform after 2015. The current usage metrics is available 48-96 hours after online publication and is updated daily on week days.
Initial download of the metrics may take a while.