Free Access
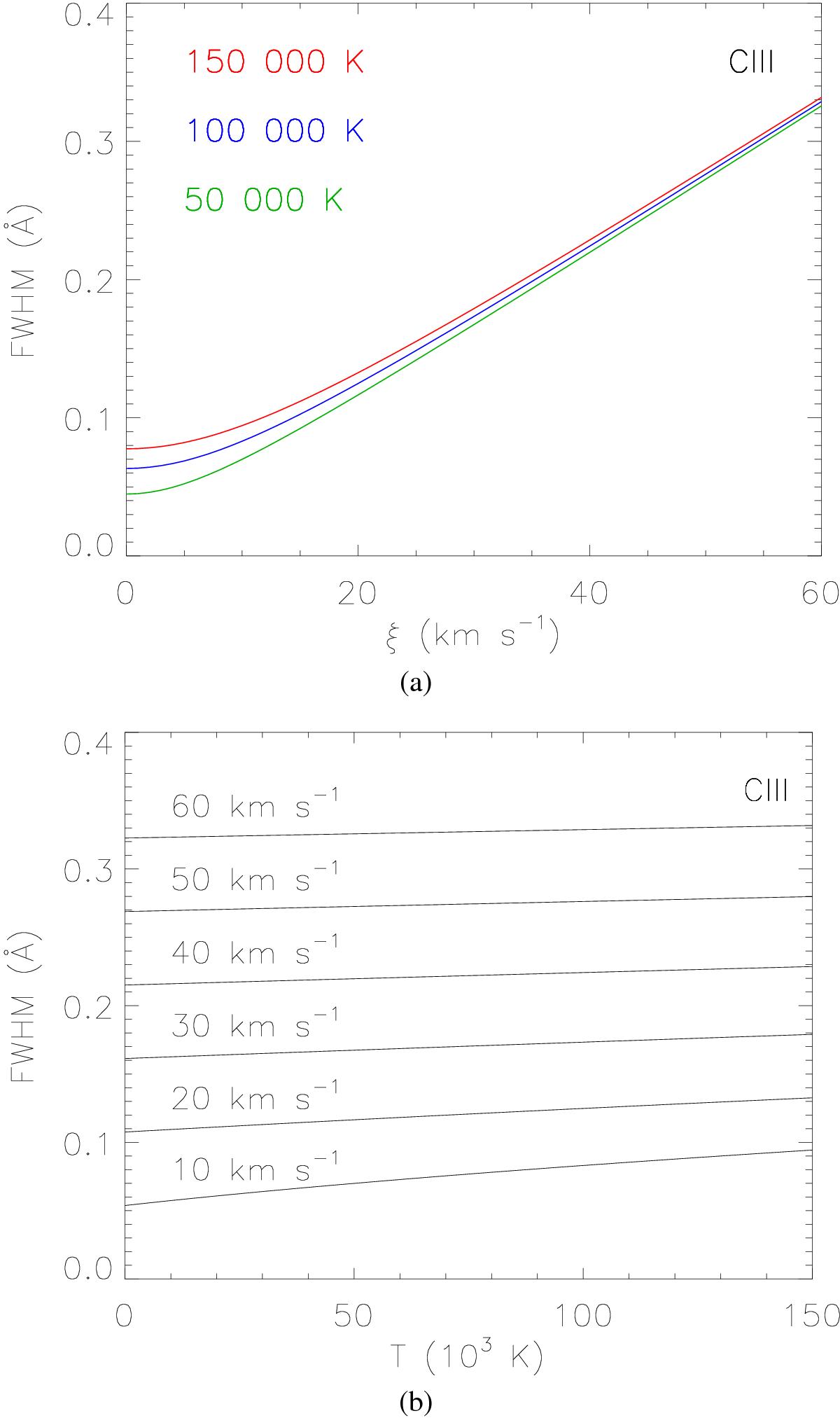
Fig. 4

Panel a: FWHM of the C iii line plotted as a function of the microturbulent velocity for three typical kinetic temperatures. Note that the FWHM = 2. Panel b: FWHM of the C iii line as a function of the kinetic temperature for six microturbulent velocities.
This figure is made of several images, please see below:
Current usage metrics show cumulative count of Article Views (full-text article views including HTML views, PDF and ePub downloads, according to the available data) and Abstracts Views on Vision4Press platform.
Data correspond to usage on the plateform after 2015. The current usage metrics is available 48-96 hours after online publication and is updated daily on week days.
Initial download of the metrics may take a while.