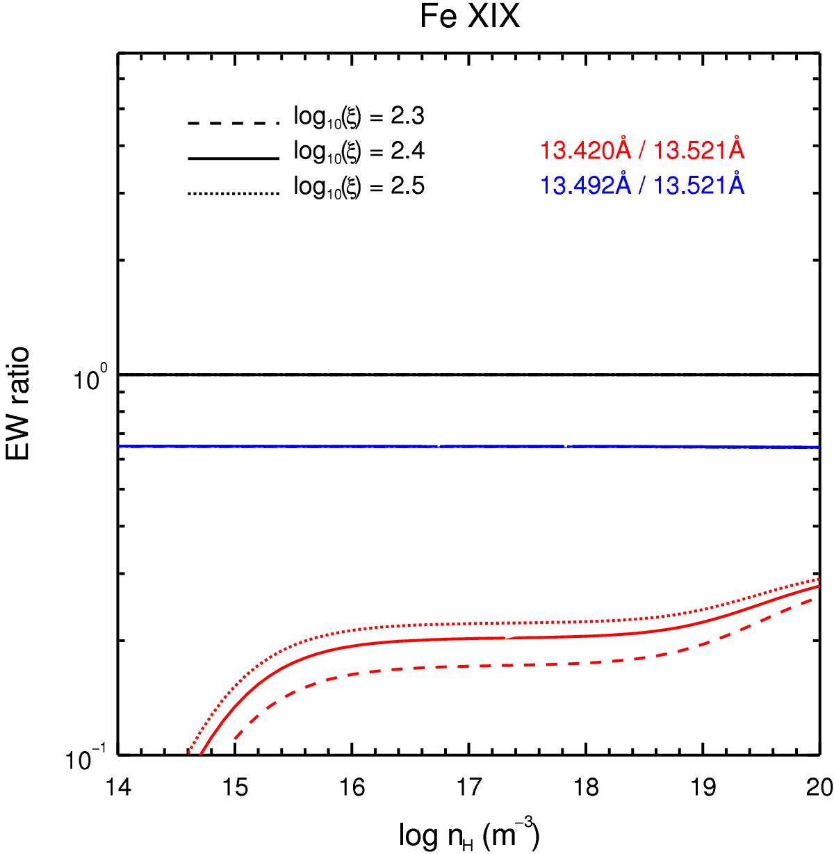
Fig. A.2

Equivalent width (EW) ratios for characteristic absorption lines of O-like Fe xix. The two lines with λ =13.521 Å and 13.492 Å are from the ground level. The line with λ =13.420 Å is from the first excited level. Dashed (ξ = 2.3), solid (ξ = 2.4, where ion concentration reaches its maximum), and dotted (ξ = 2.5) lines indicate different ionization parameters of the photoionized plasma.
Current usage metrics show cumulative count of Article Views (full-text article views including HTML views, PDF and ePub downloads, according to the available data) and Abstracts Views on Vision4Press platform.
Data correspond to usage on the plateform after 2015. The current usage metrics is available 48-96 hours after online publication and is updated daily on week days.
Initial download of the metrics may take a while.