Free Access
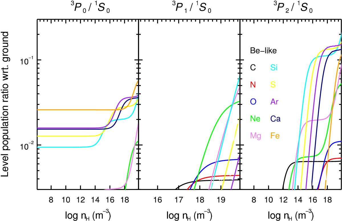
Fig. 2

Level population ratios as a function of plasma density (in the range of 106−20 m-3 or 100−14 cm-3) at ionization parameter of maximum ion concentration in the ionization balance. The configuration of the ground () and metastable levels (
) are listed in Table 1.
Current usage metrics show cumulative count of Article Views (full-text article views including HTML views, PDF and ePub downloads, according to the available data) and Abstracts Views on Vision4Press platform.
Data correspond to usage on the plateform after 2015. The current usage metrics is available 48-96 hours after online publication and is updated daily on week days.
Initial download of the metrics may take a while.