Free Access

Fig. 1

image

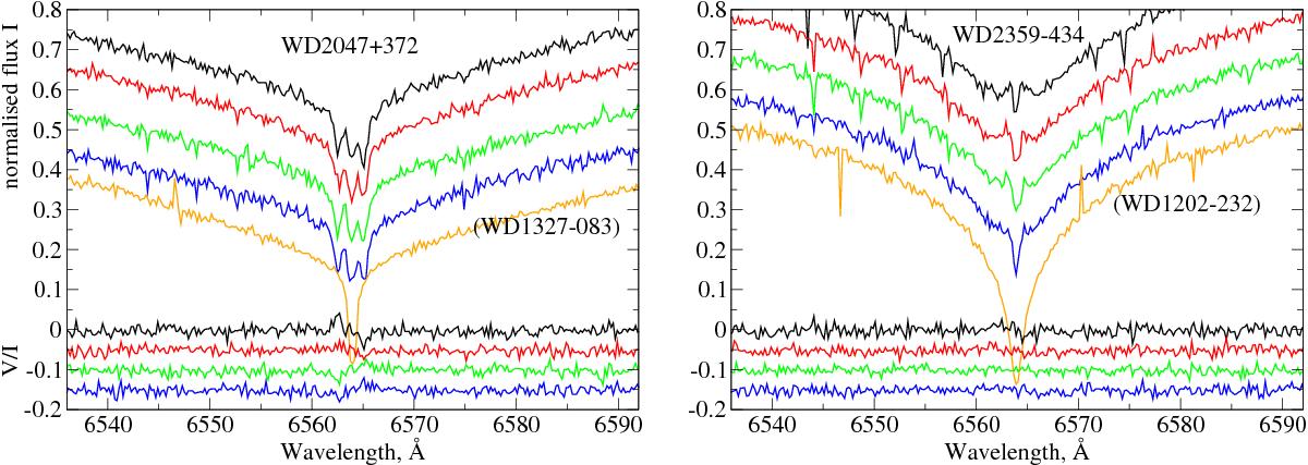
ESPaDOnS spectra of WD 2047+372 (left panel) and WD 2359-434 (right panel). Both panels are organised in a similar way. The top four solid lines show the intensity I spectra, and the lowest solid lines represent the corresponding circular polarisation V spectra of the Hα region. For WD 2047+372 the spectra numbers are 1975651, 1976104, 1976387, 1976638; for WD 2359-434 the spectra are 1975659, 1976391, 1976646, and 1974336. In between the four ESPaDOnS I spectra is a UVES I spectrum of a non-magnetic star with similar effective temperature as the magnetic star: the comparison star for WD 2047+372 is WD 1327–083, and the comparison star for WD 2359-434 is WD 1202-232. Data are binned in 0.2 Å boxes to improve S/N. All I spectra are normalised to 1.0 at ± 200 Å from Hα line centre, then shifted down from top I spectrum in steps of 0.1 for visibility. All V spectra are normalised to 0.0 outside the line core, then shifted down from top V spectrum in steps of 0.05.

This figure is made of several images, please see below:

Current usage metrics show cumulative count of Article Views (full-text article views including HTML views, PDF and ePub downloads, according to the available data) and Abstracts Views on Vision4Press platform.

Data correspond to usage on the plateform after 2015. The current usage metrics is available 48-96 hours after online publication and is updated daily on week days.

Initial download of the metrics may take a while.